Logo

Nous Soulignons Fortement Que Le Site Est Uniquement À Des Fins D'Information.

Nous Ne Vendons, Ne Faisons Pas De Publicité Et Ne Recommandons Rien.

Les Informations Fournies Ici Ne Constituent Pas Des Conseils Médicaux Et Ne Sont Pas Destinées À Remplacer Une Évaluation Personnelle. Visite Chez Un Médecin, Un Pharmacien Ou Un Autre Professionnel De La Santé Qualifié.

Ne Vous Soignez Pas Vous-Même Et Consultez Toujours Un Spécialiste Avant D’Utiliser Tout Médicament.

Agents d'acné, combos topiques

À l'usine

Les Informations Présentées Sur Ce Site Ne Constituent Pas Un Avis Médical. Nous Ne Vendons Rien. L'Exactitude De La Traduction N'Est Pas Garantie. Clause De Non-Responsabilité

Résumé

Qu'est-ce que Onexton?

Onexton ( clindamycine Le gel de phosphate et de peroxyde de benzoyle) est une combinaison antibiotique et un antibactérien et agent kératolytique indiqué pour le traitement topique de Acné vulgaris chez les patients âgés de 12 ans et plus.

Quels sont les effets secondaires de Onexton?

Les effets secondaires courants de Onexton comprennent:

  • sensation de brûlure ou de picotement
  • irritation cutanée ( contacter la dermatite )
  • démangeaison
  • éruption cutanée
  • sécheresse
  • pelage ou
  • rougeur de la peau

Dosage pour Onexton

Avant d'appliquer du gel Onexton, lavez doucement le visage avec un rinçage de savon doux avec de l'eau tiède et séchez la peau. Appliquez une dose de la taille d'un pois de gel Onexton sur le visage une fois par jour.

Quelles substances ou suppléments de médicaments interagissent avec Onexton?

Onexton peut interagir avec le topique ou érythromycine Autre thérapie d'acné topique utilisée en même temps et agents de blocage neuromusculaires. Dites à votre médecin tous les médicaments et suppléments que vous utilisez.

Onexton pendant la grossesse et l'allaitement

Dites à votre médecin si vous êtes enceinte ou prévoyez de tomber enceinte avant d'utiliser Onexton. On ne sait pas si Onexton passe dans le lait maternel. Clindamycine administrée par voie orale et par voie parentérale passe dans le lait maternel. En raison du potentiel de réactions indésirables graves chez les nourrissons infirmiers, Onexton n'est pas recommandé pour une utilisation pendant l'allaitement; Consultez votre médecin.

Informations Complémentaires

Notre centre de médicaments sur les effets secondaires du phosphate de clindamycine et de peroxyde de benzoyle) offre une vue complète des informations sur les médicaments disponibles sur les effets secondaires potentiels lors de la prise de ce médicament.

Informations sur les médicaments de la FDA

  • Description de la drogue
  • Indications
  • Effets secondaires
  • Interactions médicamenteuses
  • Avertissements
  • Surdosage
  • Pharmacologie clinique
  • Guide des médicaments

Description de Onexton

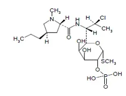
Le gel Onexton est un produit combiné avec deux ingrédients actifs dans une formulation de gel aqueuse lisse blanche à blanc opaque destiné à une utilisation topique. Le phosphate de clindamycine est un ester soluble dans l'eau du semi-synthétique antibiotique Produit par un 7 (S)--chloro-substitution du groupe 7 (R) -hydroxyle de l'antibiotique parent lincomycine.

Le nom chimique du phosphate de clindamycine est Méthyl 7-chloro-678-trideoxy-6- (1-méthyl-trans-4-propyl-l-2pyrrolidinecarboxamido) -1-thio-l-threo- α-d-galacto-octopyranoside 2 - (phosphate de dihydrogène). La formule structurelle du phosphate de clindamycine est représentée ci-dessous:

Phosphate de clindamycine


Formule moléculaire: C18H34CLN2O8Ps

Le peroxyde de benzoyle est un agent antibactérien et kératolytique. La formule structurelle du peroxyde de benzoyle est représentée ci-dessous:

Peroxyde de benzoyle


Formule moléculaire: C14H10O4

Le gel Onexton contient les ingrédients inactifs suivants: Carbomère 980 Hydroxyde de potassium propylène glycol et eau purifiée. Chaque gramme de gel Onexton contient 12 mg (1,2%) phosphate de clindamycine équivalent à 10 mg (1%) de clindamycine et 37,5 mg (3,75%) de peroxyde de benzoyle.

Combien de méloxicam puis-je prendre

Utilisations pour Onexton

Gelton ™ (gel de clindamycine phosphate et peroxyde de benzoyle) 1,2% / 3,75% est indiqué pour le traitement topique de l'acné vulgaire chez les patients de 12 ans et plus.

Dosage pour Onexton

Avant d'appliquer du gel Onexton, lavez doucement le visage avec un rinçage de savon doux avec de l'eau tiède et séchez la peau. Appliquez une quantité de gel de la taille d'un pois sur le visage une fois par jour. Évitez les yeux bouche de bouche des muqueuses muqueuses ou zones de peau cassée.

L'utilisation de gel Onexton au-delà de 12 semaines n'a pas été évaluée.

Le gel Onexton n'est pas pour une utilisation orale ophtalmique ou intravaginale.

Comment fourni

Formes et forces posologiques

Gel 1,2% / 3,75%

Chaque gramme de gel Onexton contient 12 mg (1,2%) de phosphate de clindamycine équivalent à 10 mg (1%) de clindamycine et 37,5 mg (3,75%) de peroxyde de benzoyle dans un gel lisse opaque blanc à blanc hors blanc.

Gel Onexton 1,2% / 3,75% est un gel lisse blanc à blanc cassé fourni comme une pompe de 50 g ( NDC 0187-3050-50)

Dispenser des instructions pour le pharmacien

  • Dispenser le gel Onexton avec une date d'expiration de 10 semaines.
  • Spécifiez le magasin à température ambiante jusqu'à 25 ° C (77 ° F). Ne congelez pas.

Stockage et manipulation

  • PHARMACIEN: Avant la distribution: stocker dans un réfrigérateur de 2 ° C à 8 ° C (36 ° F à 46 ° F).
  • PATIENT: Conserver à température ambiante à 25 ° C ou en dessous (77 ° F).
  • Protéger contre le gel.
  • Stocker la pompe debout.

Fabriqué pour: Valeant Pharmaceuticals North America LLC Bridgewater NJ 08807 USA. Par: Contract Pharmaceuticals Limited Mississauga Ontario Canada L5N 6L6 U.S. Pour plus d'informations sur le gel Onexton, appelez le 1-800-321-4576. Rev. 11/2014

Effets secondaires for Onexton

La réaction indésirable suivante est décrite plus en détail dans le Avertissements et PRÉCAUTIONS Section de l'étiquette:

  • Colite [voir Avertissements et PRÉCAUTIONS ].

Expérience des essais cliniques

Étant donné que les essais cliniques sont menés dans des conditions de réaction indésirables très variables observées dans les essais cliniques d'un médicament ne peuvent pas être directement comparées aux taux observés dans les essais cliniques d'un autre médicament et ne reflètent pas les taux observés dans la pratique clinique.

Ces effets indésirables se sont produits chez moins de 0,5% des sujets traités avec du gel Onexton: sensation de brûlure (0,4%); dermatite de contact (0,4%); prurit (0,4%); et éruption cutanée (0,4%).

Au cours des essais cliniques, les sujets ont été évalués pour les signes cutanés locaux et les symptômes de l'échelle d'écorce d'écorce des démangeaisons et des picotements. La plupart des réactions cutanées locales étaient les mêmes que la ligne de base ou ont augmenté et ont culminé vers la semaine 4 et étaient proches ou améliorées par rapport aux niveaux de base à la semaine 12. Le pourcentage de sujets présentant des symptômes avant le traitement (au départ) pendant le traitement et le pourcentage avec des symptômes présents à la semaine 12 sont présentés dans le tableau 1.

Tableau 1: Réactions cutanées locales - Percent de sujets présentant des symptômes présents. Résultats de l'essai de phase 3 du gel Onexton 1,2% / 3,75% (n = 243)

Avant le traitement (ligne de base)Pendant le traitementFin du traitement (semaine 12)
BéninContre.* GraveBéninContre.*GraveBéninContre.* Grave
Érythème2060285<11520
Éclatement1010193010<10
Démangeaison143<11530720
Brûlant5<1<171<13<10
Piqûre5<1070<130<1
*Mod. = Modéré

Expérience de commercialisation de la poste

Étant donné que les effets indésirables du marché postal sont signalés volontairement à partir d'une population de taille incertaine, il n'est pas toujours possible d'estimer de manière fiable leur fréquence ou d'établir une relation causale à l'exposition au médicament.

L'anaphylaxie ainsi que les réactions allergiques menant à des hospitalisations ont été rapportées dans l'utilisation post-commercialisation de produits contenant du peroxyde de clindamycine / peroxyde de benzoyle.

Interactions médicamenteuses for Onexton

Érythromycine

Évitez d'utiliser du gel Onexton en combinaison avec des produits topiques ou oraux contenant de l'érythromycine en raison de sa composante de clindamycine. Des études in vitro ont montré un antagonisme entre l'érythromycine et la clindamycine. La signification clinique de ce in vitro L'antagonisme n'est pas connu.

Médicaments topiques concomitants

La thérapie par acné topique concomitante doit être utilisée avec prudence, car un éventuel effet d'irritation cumulative peut se produire, en particulier avec l'utilisation d'agents de desquamation ou d'abrasifs. Si l'irritation ou la dermatite se produit, réduit la fréquence d'application ou interrompre temporairement le traitement et reprendre une fois que l'irritation s'est placée. Le traitement doit être interrompu si l'irritation persiste.

Agents de blocage neuromusculaires

Il a été démontré que la clindamycine a des propriétés de blocage neuromusculaires qui peuvent améliorer l'action d'autres agents de blocage neuromusculaires. Le gel Onexton doit être utilisé avec prudence chez les patients recevant de tels agents.

Avertissements pour Onexton

Inclus dans le cadre du PRÉCAUTIONS section.

Précautions pour Onexton

Colite

L'absorption systémique de la clindamycine a été démontrée après l'utilisation topique de la clindamycine. Diarrhée Diarrhée sanglante et colite (y compris la colite pseudomembraneuse) ont été signalées avec l'utilisation de la clindamycine topique et systémique. Si une diarrhée significative se produit sur le gel à opice doit être interrompue.

Grave colitis has occurred following oral and parenteral administration of clindamycine with an onset of up to several weeks following cessation of therapy. Antiperistaltic agents such as opiates and diphenoxylate with atropine may prolong and/or worsen severe colitis. Grave colitis may result in death.

Les études indiquent que la toxine produite par la clostridie est une cause principale de colite associée aux antibiotiques. La colite est généralement caractérisée par une diarrhée persistante sévère et des crampes abdominales sévères et peut être associée au passage du sang et du mucus. Les cultures de selles pour Clostridium difficile et le dosage des selles pour la toxine C. difficile peuvent être utiles diagnostiquement.

Lumière ultraviolette et exposition environnementale

Minimiser l'exposition au soleil (y compris l'utilisation de lits de bronzage ou de lampes à soleil) après l'application de médicament [voir Toxicologie non clinique ].

Informations de conseil des patients

Voir Étiquetage des patients approuvé par la FDA ( Informations sur les patients ).

  • Les patients qui développent des réactions allergiques tels que un gonflement sévère ou un essoufflement doivent interrompre l'utilisation et contacter immédiatement leur médecin.
  • Le gel Onexton peut provoquer une irritation telle que les démangeaisons à l'échelle de l'érythème ou la brûlure, en particulier lorsqu'elles sont utilisées en combinaison avec d'autres thérapies d'acné topiques.
  • Les patients doivent limiter une exposition excessive ou prolongée au soleil. Pour minimiser l'exposition au soleil, un chapeau ou d'autres vêtements doivent être portés. L'écran solaire peut également être utilisé.
  • Le gel Onexton peut blanchir les cheveux ou un tissu coloré.

Toxicologie non clinique

Carcinogenèse Mutagenèse A trouble de la fertilité

La mutagénicité de la cancérogénicité et la déficience des tests de fertilité du gel Onexton n'ont pas été effectuées.

Il a été démontré que le peroxyde de benzoyle est un promoteur tumoral et un agent de progression dans un certain nombre d'études animales. Le peroxyde de benzoyle dans de l'acétone à des doses de 5 et 10 mg a administré topiquement deux fois par semaine pendant 20 semaines induites des tumeurs cutanées chez des souris transgéniques Tg.AC. La signification clinique de ceci est inconnue.

Des études de cancérogénicité ont été menées avec une formulation de gel contenant 1% de clindamycine et 5% de peroxyde de benzoyle. Dans une étude de cancérogénicité cutanée à 2 ans dans le traitement des souris avec la formulation du gel à des doses de 900 2700 et 15000 mg / kg / jour (1,8 5,4 et 30 fois la quantité de clindamycine et 2,4 7,2 et 40 fois la quantité de peroxyde de benzoyle dans la dose humaine adulte la plus élevée n'a causé aucune augmentation de 2,5 glons à base de mg / m² respectivement) respectivement) respectivement). Cependant, un traitement topique avec une formulation de gel différente contenant 1% de clindamycine et 5% de peroxyde de benzoyle à des doses de 100 500 et 2000 mg / kg / jour a provoqué une augmentation dose-dépendante de l'incidence du kératoacanthome au site cutané traité des rats mâles dans une étude de carcinogène cutannicité de 2 ans chez le rat. In an oral (gavage) carcinogenicity study in rats treatment with the gel formulation at doses of 300 900 and 3000 mg/kg/day (1.2 3.6 and 12 times amount of clindamycin and 1.6 4.8 and 16 times amount of benzoyl peroxide in the highest recommended adult human dose of 2.5 g ONEXTON Gel based on mg/m² respectively) for up to 97 weeks did not cause any increase in tumeurs. Dans une étude de photocarcinogénicité cutanée de 52 semaines chez des souris sans poils (40 semaines de traitement suivie de 12 semaines d'observation), le temps médian à l'apparition de la formation de tumeurs cutanée a diminué et le nombre de tumeurs par souris a augmenté par rapport aux témoins suivant une administration topique concomitante chronique de la concentration plus élevée de la formulation de Benzoyl (5000 et 10000 mg / kg / kg / kg / jour de la semaine) et à un rayon de rayon.

Le phosphate de clindamycine n'était pas génotoxique dans le test d'aberration du chromosome des lymphocytes humains. Il a été constaté que le peroxyde de benzoyle provoque des ruptures de brin d'ADN dans une variété de types de cellules de mammifères S. typhimurium tests par certains mais pas tous les chercheurs et provoquer des échanges chromatides sœurs dans les cellules ovaires du hamster chinois.

Les études de fertilité n'ont pas été réalisées avec du gel Onexton ou du peroxyde de benzoyle, mais la capacité de fertilité et d'accouplement a été étudiée avec la clindamycine. Les études de fertilité chez le rat traité par voie orale avec jusqu'à 300 mg / kg / jour de clindamycine (environ 120 fois la quantité de clindamycine dans la dose humaine adulte la plus élevée de 2,5 g de gel ONEXTON à base de mg / m²) n'ont révélé aucun effet sur la fertilité ou la capacité d'accouplement.

Utiliser dans des populations spécifiques

Grossesse

Grossesse Category C

Il n'y a pas d'études adéquates et bien contrôlées chez les femmes enceintes traitées avec du gel Onexton. Le gel Onexton ne doit être utilisé pendant la grossesse que si le bénéfice potentiel justifie le risque potentiel pour le fœtus.

Les études de toxicité reproductrice / développementale animale n'ont pas été menées avec du gel Onexton ou du peroxyde de benzoyle. Des études de toxicité de développement de la clindamycine effectuées chez le rat et les souris en utilisant des doses orales allant jusqu'à 600 mg / kg / jour (240 et 120 fois la quantité de clindamycine dans la dose humaine adulte la plus recommandée respectivement jusqu'à 200 mg / kg / jour (80 fois 40 fois la quantité de clindamyne dans le haut de la caisse dans la dose de la caisse dans la dose de l'huout de l'homme Mg / m² respectivement) n'a révélé aucune preuve de tératogénicité.

Mères qui allaitent

On ne sait pas si la clindamycine est excrétée dans le lait maternel après une application topique du gel Onexton. Cependant, la clindamycine administrée par voie orale et parentérale apparaîtrait dans le lait maternel. En raison du potentiel de réactions indésirables graves chez les nourrissons en soins infirmiers, une décision doit être prise de l'utilisation de gel Onexton tandis que les soins infirmiers prenant en compte l'importance du médicament pour la mère.

Usage pédiatrique

La sécurité et l'efficacité du gel Onexton chez les patients pédiatriques de moins de 12 ans n'ont pas été évalués.

Utilisation gériatrique

Les essais cliniques de gel Onexton ne comprenaient pas un nombre suffisant de sujets âgés de 65 ans et plus pour déterminer s'ils réagissent différemment des sujets plus jeunes.

Informations sur la surdose pour Onexton

Aucune information fournie.

Contre-indications pour Onexton

Hypersensibilité

Le gel Onexton est contre-indiqué chez les individus qui ont montré une hypersensibilité au peroxyde de clindamycine benzoyle tout composant de la formulation ou de la lincomycine. L'anaphylaxie ainsi que les réactions allergiques menant à l'hospitalisation ont été signalées dans l'utilisation de la post-commercialisation avec un gel Onexton [voir Effets indésirables ].

proaire hfa albutérol sulfate inhalation aérosol

Colite/Enteritis

Le gel Onexton est contre-indiqué chez les patients ayant des antécédents de colite ulcéreuse régionale ou de colite associée aux antibiotiques [voir Avertissements et PRÉCAUTIONS ].

Pharmacologie clinique for Onexton

Mécanisme d'action

Clindamycine : Clindamycine is a lincosamide antibactérien [see Microbiologie ].

Peroxyde de benzoyle : Le peroxyde de benzoyle est un agent oxydant avec des effets bactéricide et kératolytiques, mais le mécanisme d'action précis est inconnu.

Pharmacocinétique

L'absorption systémique du gel Onexton n'a pas été évaluée. L'absorption systémique de la clindamycine a été étudiée dans un essai à dose multiple en ouvert chez 16 sujets adultes avec de l'acné vulgaire modérée à sévère traitée avec 1 gramme d'un gel commercialisé contenant de la clindamycine 1% / peroxyde de benzoyle 2,5% appliqué au visage une fois par jour pendant 30 jours. Ce produit a la même formulation que le gel Onexton mais avec une concentration plus faible de peroxyde de benzoyle. Douze sujets (75%) avaient au moins une concentration de plasma de clindamycine quantifiable au-dessus de la limite inférieure de quantification (LOQ = 0,5 ng / ml) au jour 1 ou au jour 30. h.ng/ml (n = 4). Le jour 30, le CMAX moyen était de 1,22 ± 0,88 ng / ml (n = 10) et l'AUC0-T moyen était de 8,42 ± 6,01 h.ng/ml (n = 6). Les concentrations plasmatiques de clindamycine étaient inférieures à LOQ chez tous les sujets à 24 heures après la dose les trois jours testés (jour 1 15 et 30).

Il a été démontré que le peroxyde de benzoyle est absorbé par la peau où il est converti en acide benzoïque.

Microbiologie

Clindamycine binds to the 50S ribosomal subunits of susceptible bacteria and prevents elongation of peptide chains by interfering with peptidyl transfer thereby suppressing bacterial protein synthesis.

Clindamycine and benzoyl peroxide individually have been shown to have in vitro activité contre Propionibacterium acnes Un organisme qui a été associé à l'acné vulgaire. Dans un in vitro étudier le micro pour le peroxyde de benzoyle contre Propionibacterium acnes est 128 mg / L. La signification clinique de cette activité contre P. Acnes n'est pas connu.

P. Acnes La résistance à la clindamycine a été documentée. La résistance à la clindamycine est souvent associée à une résistance à l'érythromycine.

Études cliniques

L'innocuité et l'efficacité de l'utilisation une fois par jour de gel à opice ont été évaluées dans un essai en aveugle randomisé multicentrique de 12 semaines chez les sujets de 12 ans et plus avec de l'acné vulgaire modérée à sévère. Cet essai a évalué le gel Onexton par rapport au gel du véhicule.

Les variables d'efficacité de la co-primaire pour cet essai étaient:

  1. Changement absolu moyen par rapport à la référence à la semaine 12 en
    • Compte de lésions inflammatoires
    • Dénations de lésions non inflammatoires
  2. Pourcentage de sujets qui ont subi une réduction de deux niveaux par rapport à la base de référence sur le score de gravité mondiale d'un évaluateur (EGS).

L'échelle de notation EGS utilisée dans l'essai clinique pour le gel Onexton est la suivante:

Tableau 2: Échelle de notation EGS

GradeDescription
ClairPeau claire normale sans signe d'acné
Presque clairDes lésions non inflammatoires rares présentes avec de rares papules non inflammés (les papules doivent résoudre et peuvent être hyperpigmentés mais pas rose-rouge)
BéninCertaines lésions non inflammatoires sont présentes avec peu de lésions inflammatoires (papules / pustules uniquement; pas de lésions nodulocystiques)
ModéréLes lésions non inflammatoires prédominent avec de multiples lésions inflammatoires évidentes: plusieurs pour de nombreux comédones et papules / pustules et il peut y avoir ou non une petite lésion nodulocystique
GraveLes lésions inflammatoires sont plus évidentes de nombreux comédones et papules / pustules là-bas peuvent ou non y avoir jusqu'à 2 lésions nodulocystiques
Très sévèreLes lésions hautement inflammatoires prédominent le nombre variable de comédones de nombreuses papules / pustules et plus de 2 lésions nodulocystiques

Les résultats de l'essai à la semaine 12 sont présentés dans le tableau 3:

Tableau 3: Résultats de l'essai de phase 3 avec un gel Onexton 1,2% / 3,75% à la semaine 12

Gel Onexton
N = 253
Gel de véhicule
N = 245
EGSS:
Clair or Presque clair29%15%
2-grade reduction from baseline35%17%
Lésions inflammatoires:
Mean absolute reduction16.38.2
Mean percent (%) reduction60,4%31,3%
Lésions non inflammatoires:
Mean absolute reduction19.29.6
Mean percent (%) reduction51,8%27,6%

Informations sur les patients pour Onexton

ONEXTON ™
(Sur-ex-tun)
(Clindamycine Phosphate et peroxyde de benzoyle) Gel 1,2% / 3,75%

Informations importantes: Pour une utilisation sur la peau uniquement (utilisation topique). Ne vous obtenez pas de gel ONEXTON dans la bouche Eyes Vagin sur vos lèvres ou sur des coupes ou des blessures ouvertes.

Qu'est-ce que le gel Onexton?

Gel Onexton is a prescription medicine used on the skin (topical) to treat Acné vulgaris in people 12 years of age and older. Gel Onexton contains clindamycine phosphate and benzoyl peroxide.

On ne sait pas si le gel Onexton est sûr et efficace pour une utilisation de plus de 12 semaines.

On ne sait pas si le gel Onexton est sûr et efficace chez les enfants de moins de 12 ans.

Qui ne devrait pas utiliser le gel Onexton?

N'utilisez pas de gel Onexton si vous avez:

  • a eu une réaction allergique à la lincomycine de peroxyde de clindamycine benzoyle ou de l'un des ingrédients du gel Onexton. Voir la fin de cette brochure pour une liste complète des ingrédients dans le gel Onexton.
  • La maladie de Crohn ou colite ulcéreuse
  • a eu une inflammation du côlon (colite) ou une diarrhée sévère avec une utilisation antibiotique passée

Que dois-je dire à mon médecin avant d'utiliser le gel Onexton?

Avant d'utiliser un gel Onexton, parlez à votre médecin de toutes vos conditions médicales, y compris si vous:

  • prévoyez de subir une intervention chirurgicale avec une anesthésie générale
  • sont enceintes ou prévoient de devenir enceintes. On ne sait pas si le gel Onexton nuira à votre bébé à naître.
  • allaitent ou prévoient d'allaiter. On ne sait pas si le gel Onexton passe dans votre lait maternel. Le gel Onexton contient le médicament Clindamycine. La clindamycine lorsqu'elle est prise par la bouche ou par injection apparaît dans le lait maternel. Vous et votre médecin devez décider si vous utiliserez un gel Onexton pendant l'allaitement.

Parlez à votre médecin de tous les médicaments que vous prenez y compris les médicaments sur ordonnance et en vente libre des suppléments à base de vitamines et des produits cutanés que vous utilisez. L'utilisation d'autres produits d'acné topique peut augmenter l'irritation de votre peau lorsqu'elle est utilisée avec un gel Onexton.

  • Surtout, dites à votre médecin si vous prenez un médicament contenant de l'érythromycine. Le gel Onexton ne doit pas être utilisé avec des produits contenant de l'érythromycine.

Comment dois-je utiliser le gel Onexton?

  • Utilisez le gel Onexton exactement comme votre médecin vous dit de l'utiliser.
  • Appliquez un gel Onexton sur votre visage 1 fois par jour.
  • Avant d'appliquer du gel Onexton, lavez-vous doucement le visage avec un rinçage de savon doux avec de l'eau tiède et séchez votre peau.
  • Pour appliquer un gel Onexton sur votre visage, utilisez la pompe pour distribuer 1 montant de gel de la taille d'un pois sur votre doigt (voir Figure 1 ). One pea-sized amount of Gel Onexton should be enough to cover your entire face.

Figure 1

dispense 1 pea-sized amount of ONEXTON Gel onto your fingertip - Illustration
  • Portez la quantité de gel à la taille d'un pois sur six zones de votre visage (menton la joue gauche pomme droite nez front le front droit gauche). Voir Figure 2 .

Figure 2

Application area - Illustration
  • Après avoir appliqué le gel Onexton de cette façon, étalez le gel sur votre visage et frottez-le doucement. Il est important de répandre le gel sur tout votre visage.
  • Lavez-vous les mains avec du savon et de l'eau après avoir appliqué un gel à tête.
  • Si votre médecin vous dit de mettre du gel Onexton sur d'autres zones de votre peau avec l'acné, assurez-vous de vous demander combien vous devez utiliser.
  • N'utilisez pas plus de gel Onexton que prescrit.

Que dois-je éviter en utilisant le gel Onexton?

  • Limitez votre temps au soleil. Évitez d'utiliser des lits de bronzage ou des lampes à la main. Si vous devez être à la lumière du soleil, portez un chapeau à larges bords ou d'autres vêtements de protection et un écran solaire avec cote SPF 15 ou plus.
  • Évitez d'obtenir du gel Onexton dans vos cheveux ou sur un tissu coloré. Le gel Onexton peut blanchir les cheveux ou un tissu coloré.

Quels sont les effets secondaires possibles avec le gel Onexton?

Gel Onexton may cause serious side effects including:

  • Inflammation du côlon (colite). Arrêtez d'utiliser un gel Onexton et appelez votre médecin immédiatement si vous avez une diarrhée aqueuse sévère ou une diarrhée sanglante.
  • Réactions allergiques. Arrêtez d'utiliser un gel Onexton, appelez votre médecin et obtenez de l'aide immédiatement si vous obtenez de graves démangeaisons gonflement de votre visage les yeux lèvres langue ou gorge ou en difficulté.

L'effet secondaire le plus courant avec le gel Onexton est l'irritation cutanée. Arrêtez d'utiliser un gel Onexton et appelez votre médecin si vous avez une éruption cutanée ou une brûlure ou que votre peau devient très rouge ou enflée.

Parlez à votre médecin de tout effet secondaire qui vous dérange ou qui ne disparaît pas. Ce ne sont pas tous les effets secondaires possibles avec le gel Onexton.

Appelez votre médecin pour des conseils médicaux sur les effets secondaires.

Vous pouvez signaler les effets secondaires à la FDA au 1-800-FDA1088. Vous pouvez également signaler les effets secondaires à Valeant Pharmaceuticals North America LLC au 1-800-321-4576.

Comment dois-je stocker le gel Onexton?

  • Stockez le gel Onexton à température ambiante à 77 ° F ou en dessous (25 ° C). Ne congelez pas.
  • Stocker la pompe debout.
  • Gardez le récipient fermement fermé.
  • La date d'expiration du gel Onexton est à 10 semaines à compter de la date à laquelle vous remplissez votre ordonnance. Jetez en toute sécurité le gel ONEXTON expiré.

Gardez le gel Onexton et tous les médicaments hors de portée des enfants.

Informations générales sur l'utilisation sûre et efficace du gel Onexton

Les médicaments sont parfois prescrits à des fins autres que celles énumérées dans une brochure d'information du patient. N'utilisez pas de gel Onexton pour une condition pour laquelle il n'a pas été prescrit. Ne donnez pas de gel Onexton à d'autres personnes même si elles présentent les mêmes symptômes que vous. Cela peut leur faire du mal. Vous pouvez également demander à votre médecin ou pharmacien d'informations sur le gel Onexton qui est écrit pour les professionnels de la santé.

Quels sont les ingrédients de Gel Onexton?

Ingrédients actifs: clindamycine phosphate 1.2% and benzoyl peroxide 3.75%

Ingrédients inactifs: carbomère 980 hydroxyde de potassium propylène glycol et eau purifiée