Logo

Nous Soulignons Fortement Que Le Site Est Uniquement À Des Fins D'Information.

Nous Ne Vendons, Ne Faisons Pas De Publicité Et Ne Recommandons Rien.

Les Informations Fournies Ici Ne Constituent Pas Des Conseils Médicaux Et Ne Sont Pas Destinées À Remplacer Une Évaluation Personnelle. Visite Chez Un Médecin, Un Pharmacien Ou Un Autre Professionnel De La Santé Qualifié.

Ne Vous Soignez Pas Vous-Même Et Consultez Toujours Un Spécialiste Avant D’Utiliser Tout Médicament.

Médicaments

Ambien CR

Les Informations Présentées Sur Ce Site Ne Constituent Pas Un Avis Médical. Nous Ne Vendons Rien. L'Exactitude De La Traduction N'Est Pas Garantie. Clause De Non-Responsabilité

Résumé

Qu'est-ce que Ambien CR?

Ambien CR (Tartrate de Zolpidem) est un médicament sédatif -hypnotique utilisé pour traiter les patients atteints d'insomnie et d'autres problèmes de sommeil comme le maintien du sommeil. Le CR signifie une libération prolongée. Ambien CR est disponible sous forme générique.

Quels sont les effets secondaires d'Ambien CR?

Les effets secondaires courants d'Ambien CR comprennent:

  • somnolence diurne
  • mal de tête
  • vertiges
  • faiblesse
  • Se sentir «drogué»
  • étourdissement
  • sentiment fatigué
  • perte de coordination
  • nez encombré
  • bouche sèche
  • irritation du nez ou de la gorge
  • nausée
  • constipation
  • diarrhée
  • estomac renversé
  • douleur musculaire
  • dépression et
  • Pensée inhabituelle, y compris les pensées de l'agression de l'anxiété de l'auto-blessure et de la prise de risques.

Dites à votre médecin si vous avez des effets secondaires peu fréquents mais graves d'Ambien CR, y compris:

  • réactions allergiques
  • douleur thoracique
  • battements cardiaques irréguliers
  • démence
  • caillots de sang et
  • réactions cutanées.

Une «conduite du sommeil» inhabituelle et dangereuse s'est produite avec quelques patients.

Dosage pour Ambien CR

La dose initiale recommandée d'Ambien CR est de 6,25 mg pour les femmes et 6,25 ou 12,5 mg pour les hommes pris une fois par nuit immédiatement avant le coucher avec au moins 7 à 8 heures avant l'heure prévue de l'éveil.

Quelles substances ou suppléments de médicaments interagissent avec Ambien CR?

Ambien CR peut interagir avec l'alcool d'autres médicaments qui vous rendent somnolent ou ralentissent votre respiration (comme les médicaments contre les médicaments contre les analgésiques relaxants musculaires et les médicaments pour l'anxiété ou les crises de la dépression) la rifampine ou les antidépresseurs de la chlorpromazine itaconazole de kétoconazole ou des antidépresseurs. Dites à votre médecin tous les médicaments et suppléments que vous utilisez.

Ambien Cr pendant la grossesse ou l'allaitement

Dites à votre médecin si vous êtes enceinte ou prévoyez de devenir enceinte tout en utilisant Ambien CR. On ne sait pas si Ambien CR nuira à un fœtus. Ambien CR peut passer dans le lait maternel et peut nuire à un bébé d'allaitement. Consultez votre médecin avant l'allaitement.

Informations Complémentaires

Notre centre de médicaments aux effets secondaires Ambien CR offre une vue complète des informations sur les médicaments disponibles sur les effets secondaires potentiels lors de la prise de ce médicament.

Informations sur les médicaments de la FDA

  • Description de la drogue
  • Indications
  • Effets secondaires
  • Interactions médicamenteuses
  • Avertissements
  • Surdosage
  • Pharmacologie clinique
  • Guide des médicaments

Description d'Ambien cr

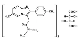
AMBIEN CR contains zolpidem tartrate a gamma-aminobutyric acid (GABA) A agonist of the imidazopyridine class. AMBIEN CR (zolpidem tartrate extended-release tablets) is available in 6.25 mg and 12.5 mg strength tablets for oral administration.

Le zolpidem chimiquement est le nn6-triméthyl-2-p-tolylimidazo [12-a] pyridine-3-acétamide L- () (2: 1). Il a la structure suivante:

Le tartrate de Zolpidem est une poudre cristalline blanche à blanc cassé qui est avec parcimonie soluble dans l'alcool d'eau et le propylène glycol. Il a un poids moléculaire de 764,88. Ambien CR se compose d'un comprimé en revue à deux couches: une couche qui libère immédiatement sa teneur en médicament et une autre couche qui permet une libération plus lente de contenu médicamenteux supplémentaire. Le comprimé Ambien CR de 6,25 mg contient les ingrédients inactifs suivants: dioxyde de silicium colloïdal hypromellose lactose monohydrate de magnésium stéarate microcristallin de cellulose polyéthylène glycol bitartassium bitartrate de sodium rouge ferrique glycolate et dioxyde de titanium. Le comprimé Ambien CR de 12,5 mg contient les ingrédients inactifs suivants: dioxyde de silicium colloïdal FD

Utilisations pour Ambien CR

Ambien CR (Tartrate de Zolpidem comprimés à libération étendue) est indiqué pour le traitement à court terme de l'insomnie caractérisé par des difficultés avec le début du sommeil et / ou l'entretien du sommeil (tel que mesuré par le temps de sillage après le début du sommeil).

Les essais cliniques effectués à l'appui de l'efficacité étaient jusqu'à 3 semaines (en utilisant la mesure de la polysomnographie jusqu'à 2 semaines chez les patients adultes et âgés) et 24 semaines (en utilisant une évaluation déclarée par le patient chez les patients adultes uniquement) en durée [voir Études cliniques ].

Dosage pour Ambien CR

Dosage chez les adultes

Utilisez la dose efficace la plus faible pour le patient. La dose initiale recommandée est de 6,25 mg pour les femmes et 6,25 ou 12,5 mg pour les hommes pris une seule fois par nuit immédiatement avant le coucher avec au moins 7 à 8 heures restant avant l'heure prévue de l'éveil. Si la dose de 6,25 mg n'est pas efficace, la dose peut être augmentée à 12,5 mg. Chez certains patients, les taux sanguins du matin plus élevés après l'utilisation de la dose de 12,5 mg augmentent le risque de déficience du lendemain de la conduite et d'autres activités qui nécessitent une vigilance totale [voir Avertissements et précautions ]. The total dose of AMBIEN CR should not exceed 12.5 mg once daily immediately before bedtime. AMBIEN CR should be taken as a single dose and should not be readministered during the same night.

Les doses initiales recommandées pour les femmes et les hommes sont différentes car la dégagement de zolpidem est plus faible chez les femmes.

Le traitement avec Ambien CR doit être aussi court que possible. Le traitement prolongé ne devrait pas avoir lieu sans réévaluation du statut du patient, car le risque d'abus et de dépendance augmente avec la durée du traitement [voir Abus de drogues et dépendance ].

Populations spéciales

Les patients âgés ou affaiblis peuvent être particulièrement sensibles aux effets du tartrate de Zolpidem. La dose recommandée d'Ambien CR chez ces patients est de 6,25 mg une fois par jour immédiatement avant le coucher [voir Avertissements et précautions Utiliser dans des populations spécifiques ].

Les patients atteints de troubles hépatiques légers à modérés ne nettoient pas le médicament aussi rapidement que les sujets normaux. La dose recommandée d'Ambien CR chez ces patients est de 6,25 mg une fois par jour immédiatement avant le coucher. Évitez l'utilisation d'Ambien Cr chez les patients souffrant de troubles hépatiques graves car il peut contribuer à l'encéphalopathie [voir Avertissements et précautions Utiliser dans des populations spécifiques Pharmacologie clinique ].

Utiliser avec les dépresseurs du SNC

Un ajustement posologique peut être nécessaire lorsque Ambien CR est combiné avec d'autres médicaments-dépresseurs du SNC en raison des effets potentiellement additifs [voir Avertissements et précautions ].

Administration

Les comprimés Ambien CR à libération prolongée doivent être avalés entiers et ne pas être divisés écrasés ou mâchés. L'effet d'Ambien CR peut être ralenti par l'ingestion avec ou immédiatement après un repas.

Comment fourni

Formes et forces posologiques

Ambien CR est disponible en comprimés à libération prolongée contenant 6,25 mg ou 12,5 mg de tartrate de zolpidem pour l'administration orale. Les tablettes ne sont pas notées.

Les comprimés Ambien CR 6,25 mg sont des bi-convex roses roses et débossés avec un ~ d'un côté.

Les comprimés Ambien CR 12,5 mg sont des bi-convexes ronds bleus et débossés avec un ~ d'un côté.

Stockage et manipulation

Ambien CR 6,25 mg Les comprimés à libération prolongée sont composés de deux couches * et sont enrobées de biconvex rose enduit dégivré avec un ~ d'un côté et fournis comme:

Taille du nombre NDC - 0024-5501-31 Bouteille de 100

Ambien CR 12,5 mg Les comprimés à libération prolongée sont composés de deux couches * et sont enrobés du biconvexe rond bleu débossé avec un ~ d'un côté et fournis comme:

Taille du nombre NDC - 0024-5521-31 Bouteille de 100

* Les couches sont couvertes par le revêtement et sont indiscernables.

Stocker entre 15 ° C-25 ° C (59 ° F-77 ° F). Excursions limitées autorisées jusqu'à 30 ° C (86 ° F).

Fabriqué par: Sanofi-aventis U.S. LLC Bridgewater NJ 08807 Une société Sanofi. Révisé: février 2022

Effets secondaires for Ambien CR

Les réactions indésirables graves suivantes sont discutées plus en détail dans d'autres sections de l'étiquetage:

  • Comportements de sommeil complexes [voir Avertissements et précautions ]
  • Effets du CNS-dépresseur et déficience le lendemain [voir Avertissements et précautions ]
  • Réactions anaphylactiques et anaphylactoïdes sévères [voir Avertissements et précautions ]
  • Des changements anormaux de pensée et de comportement [voir Avertissements et précautions ]
  • Effets de sevrage [voir Avertissements et précautions ]

Expérience des essais cliniques

Associé à l'arrêt du traitement

Dans les essais cliniques de 3 semaines chez les adultes et les patients âgés (> 65 ans) 3,5% (7/201) recevant Ambien CR 6,25 ou 12,5 mg d'arrêt du traitement en raison d'une réaction indésirable contre 0,9% (2/216) des patients sur placebo. La réaction la plus souvent associée à l'arrêt chez les patients traitées par Ambien CR était la somnolence (1%).

Dans une étude de 6 mois chez des patients adultes (18-64 ans) 8,5% (57/669) des patients recevant Ambien CR 12,5 mg par rapport à 4,6% sur le placebo (16/349) ont arrêté le traitement en raison d'une réaction indésirable. Les réactions les plus souvent associées à l'arrêt de l'Ambien CR ont inclus l'anxiété (agitation ou agitation anxiété) rapportée chez 1,5% (10/669) des patients contre 0,3% (1/349) des patients sur placebo et dépression (dépression majeure ou humeur dépressée) rapportée chez 1,5% (10/669) des patients par rapport à 0,3% (1/349) de patients sur placebo.

Les données d'une étude clinique dans laquelle des patients traités sélectifs du recapteur de la sérotonine (ISRS) ont été traités au zolpidem ont révélé que quatre des sept arrêts pendant un traitement en double aveugle avec du zolpidem (n = 95) ont été associés à une concentration altérée continuant ou à la dépression aggravée ou à la réaction manique; Un patient traité avec un placebo (n = 97) a été interrompu après une tentative de suicide.

Les réactions indésirables les plus souvent observées dans les essais contrôlés

Pendant le traitement avec Ambien CR chez les adultes et les personnes âgées à des doses quotidiennes de 12,5 mg et 6,25 mg respectivement chacune pendant trois semaines, les effets indésirables les plus couramment observés associés à l'utilisation d'Ambien CR étaient des maux de tête et des étourdissements le lendemain.

Dans l'essai de 6 mois, évaluant Ambien CR 12,5 mg, le profil de réaction indésirable était cohérent avec celui rapporté dans les essais à court terme, à l'exception d'une incidence plus élevée d'anxiété (6,3% pour Ambien CR contre 2,6% pour le placebo).

Réactions indésirables observées à une incidence ≥ 1% dans les essais contrôlés

Les tableaux suivants énumèrent les fréquences des effets indésirables émergents du traitement qui ont été observés à une incidence égale à 1% ou plus chez les patients atteints d'insomnie qui ont reçu Ambien CR dans les essais contrôlés par placebo. Les événements rapportés par les enquêteurs ont été classés en utilisant le dictionnaire Meddra dans le but d'établir des fréquences d'événements. Le prescripteur doit être conscient que ces chiffres ne peuvent pas être utilisés pour prédire l'incidence des effets secondaires au cours de la pratique médicale habituelle dans laquelle les caractéristiques des patients et d'autres facteurs diffèrent de celles qui ont prévalu dans ces essais cliniques. De même, les fréquences citées ne peuvent pas être comparées aux chiffres obtenus auprès d'autres chercheurs cliniques impliquant des produits médicamenteux et des utilisations apparentés, car chaque groupe d'essais de médicaments est mené dans un ensemble différent de conditions. Cependant, les chiffres cités fournissent au médecin une base pour estimer la contribution relative des facteurs de médicament et de drogue à l'incidence des effets secondaires dans la population étudiée.

Les tableaux suivants ont été dérivés des résultats de deux essais d'efficacité contrôlés par placebo impliquant Ambien CR. Ces essais impliquaient des patients atteints d'insomnie primaire qui ont été traités pendant 3 semaines avec Ambien CR à des doses de 12,5 mg (tableau 1) ou 6,25 mg (tableau 2) respectivement. Les tableaux ne comprennent que des réactions indésirables survenant à une incidence d'au moins 1% pour les patients Ambien CR et avec une incidence supérieure à celle observée chez les patients placebo.

Tableau 1: Incidences des effets indésirables émergents du traitement dans un essai clinique contrôlé par un placebo de 3 semaines chez les adultes (pourcentage de patients rapportés)

Système corporel
Réaction indésirable *
Ambien CR 12,5 mg
(N = 102)
Placebo
(N = 110)
Infections et infestations
Grippe30
Gastro-entérite10
Labyrinthite10
Métabolisme et troubles nutritionnels
Trouble de l'appétit10
Troubles psychiatriques
Hallucinations †40
Désorientation32
Anxiété20
Dépression20
Retard psychomoteur20
Bougeur10
Dépersonnalisation10
Désinhibition10
Humeur euphorique10
Balançoires d'humeur10
Symptômes de stress10
Troubles du système nerveux
Mal de tête1916
Somnolence152
Vertiges125
Trouble de la mémoire ‡30
Trouble de l'équilibre20
Perturbation de l'attention20
Hypoesthésie21
Ataxie10
Paresthésie10
Troubles oculaires
Perturbation visuelle30
Rougeur des yeux20
Vision flou21
Perception de la profondeur visuelle modifiée10
Asthénopie10
Troubles de l'oreille et du labyrinthe
Vertige20
Sonnerie10
Troubles thoraciques et médiastinaux respiratoires
Irritation de la gorge10
Troubles gastro-intestinaux
Nausée74
Constipation20
Inconfort abdominal10
Tendreté abdominale10
Semelles fréquentes10
Reflux gastro-œsophagien10
Vomissement10
Troubles de la peau et des tissus sous-cutanés
Éruption cutanée10
Froisser la peau10
Urticaire10
Troubles du tissu musculo-squelettique et conjonctif
Maux de dos43
Myalgie40
Douleurs au cou10
Système reproductif et troubles mammaires
Ménorragie10
Troubles généraux et conditions du site d'administration
Fatigue32
Asthénie10
Malaise10
Enquêtes
La pression artérielle a augmenté10
La température corporelle a augmenté10
Empoisonnement aux blessures et complications procédurales
Contusion10
Circonstances sociales
Exposition à la plante toxique10
* Réactions rapportées par au moins 1% des patients traités par Ambien CR et à une fréquence plus grande que dans le groupe placebo.
† Les hallucinations comprenaient des hallucinations nos ainsi que des hallucinations visuelles et hypnagogiques.
‡ Les troubles de la mémoire comprennent: Amnésie de la mémoire Amnésie Amnésie antérograde.

Tableau 2: Incidences des effets indésirables émergents du traitement dans un essai clinique contrôlé par un placebo de 3 semaines chez les personnes âgées (pourcentage de patients rapportés)

Système corporel Réaction indésirable *Ambien CR 6,25 mg
(N = 99)
Placebo
(N = 106)
Infections et infestations
Nasopharynngite64
Infection des voies respiratoires plus faibles10
Otite externe10
Infection des voies respiratoires supérieures10
Troubles psychiatriques
Anxiété32
Retard psychomoteur20
Apathie10
Humeur déprimée10
Troubles du système nerveux
Mal de tête1411
Vertiges83
Somnolence65
Sensation de brûlure10
Vertiges postural10
Trouble de la mémoire †10
Contractions musculaires involontaires10
Paresthésie10
Tremblement10
Troubles cardiaques
Palpitations20
Troubles thoraciques et médiastinaux respiratoires
Gorge sèche10
Troubles gastro-intestinaux
Flatulence10
Vomissement10
Troubles de la peau et des tissus sous-cutanés
Éruption cutanée10
Urticaire10
Troubles du tissu musculo-squelettique et conjonctif
Arthralgie20
Crampe musculaire21
Douleurs au cou20
Troubles rénaux et urinaires
Dysurie10
Système reproductif et troubles mammaires
Sécheresse vulvovaginale10
Troubles généraux et conditions du site d'administration
Grippe like illness10
Pyrexie10
Empoisonnement aux blessures et complications procédurales
Blessure au cou10
* Réactions rapportées par au moins 1% des patients traités par Ambien CR et à une fréquence plus grande que dans le groupe placebo.
† Les troubles de la mémoire comprennent: Amnésie de la mémoire Amnésie Amnésie antérograde.
Relation de la dose pour les effets indésirables

Il existe des preuves provenant d'essais de comparaison de dose suggérant une relation de dose pour de nombreuses réactions indésirables associées à l'utilisation de zolpidem, en particulier pour certains CNS et événements indésirables gastro-intestinaux.

Autres réactions indésirables observées lors de l'évaluation préalable à la mise à la marge d'Ambien CR

Autres effets indésirables émergents du traitement associés à la participation aux études Ambien CR (celles rapportées à des fréquences de <1%) were not different in nature or frequency to those seen in studies with immediate-release tartrate de zolpidem which are listed below.

Événements indésirables observés lors de l'évaluation préalable du tartrate de zolpide à libération immédiate

Le tartrate de zolpidem à libération immédiate a été administré à 3660 sujets dans des essais cliniques à travers le Canada américain et l'Europe. Les événements indésirables émergents du traitement associés à la participation des essais cliniques ont été enregistrés par des enquêteurs cliniques en utilisant la terminologie de leur propre choix. Pour fournir une estimation significative de la proportion de personnes qui subissent des événements indésirables émergents du traitement, des types d'événements fâcheux similaires ont été regroupés en un plus petit nombre de catégories d'événements standardisés et classées en utilisant un dictionnaire modifié de l'Organisation mondiale de la santé (OMS) des termes préférés.

Les fréquences présentées représentent donc les proportions des 3660 individus exposés à Zolpidem à toutes les doses qui ont connu un événement du type cité au moins une occasion tout en recevant Zolpidem. Tous les événements indésirables émergents du traitement signalés sont inclus, à l'exception de ceux déjà énumérés dans le tableau ci-dessus des événements indésirables dans les études contrôlées par placebo, les termes codants qui sont si généraux qu'ils sont non informatifs et les événements où une cause de médicament était éloignée. Il est important de souligner que, bien que les événements signalés se soient produits pendant le traitement avec Ambien, ils n'étaient pas nécessairement causés par cela.

Les événements indésirables sont en outre classés dans les catégories du système corporel et énumérés dans l'ordre de diminution de la fréquence en utilisant les définitions suivantes: les événements indésirables fréquents sont définis comme ceux qui se produisent chez plus de 1/100 sujets; Des événements indésirables peu fréquents sont ceux qui se produisent chez 1/100 à 1/1000 patients; Des événements rares sont ceux qui se produisent chez moins de 1/1000 patients.

Système nerveux autonome: Fréquent: bouche sèche. Peu fréquent: augmentation de la palette de sueur Syncope d'hypotension posturale. RARE: Hodation anormal altéré de la salive rinçant l'hypotension de l'hypotension augmente la salive ténesmus.

Le corps dans son ensemble : Fréquent: Asthénie. Peu fréquent: œdème de douleur thoracique tombant de la fièvre de la fièvre traumatrice. Rare: Réaction allergique Allergie Aggravée aggravée anaphylactique Chock Face œdème des bouffées de chaleur augmente de la douleur ESR RIGNES ENGRESSIONNES RIGAGES TOLÉRANCE CHAUDE CHAMPEMENT.

Système cardiovasculaire: Peu fréquent: Tachycardie hypertension des troubles cérébrovasculaires. RARE: Angine pectoralis arythmie arythmie défaillance circulatoire extrasystoles hypertension aggravée infarctus du myocarde Embolie pulmonaire pulmonaire œdème pulmonaire variqueur varique tachycardie ventriculaire.

Système nerveux central et périphérique: Fréquent: ataxie Confusion Drowssiness Drugée Sentinement de l'euphorie insomnie léthargie étourdie vertige. Peu fréquent: l'agitation a diminué la cognition difficulté difficulté à concentrer la dysarthrie labitude émotionnelle Hallucination hypoesthésie illusion crampes migraine nervosité paresthésie endormie (après dose de jour) trouble de la parole de la parole de la parole. Rare: Gait anormal Pensée anormale Réaction agressive Apathie appétit a augmenté la diminution de la libido illusion démence à la démentité Dysphasie ressentie une hypokinésie étrange hypotonie hystérie intoxiquée en se sentir maniaque réaction de néurrite tentant la neuropathie neurosisse des attaques paniques de la personnalité de parésie

Système gastro-intestinal: Fréquent: Hiccup de dyspepsie de la diarrhée. Peu fréquent: gastro-entérite de la dysphagie de la constipation anorexie. Rare: entérite éructation œsophagospasme gastrite hémorroïdes obstruction intestinale hémorragie rectale caries dentaire.

Système hématologique et lymphatique: Rare: anémie hyperhémoglobinemie leucopénie lymphadénopathie anémie macrocytaire purpura thrombose.

Système immunologique: Peu fréquent: infection. Rare: abcès de l'herpès simplex Herpès zoster otite externa otite média.

Système hépatique et biliaire: Peu fréquent: la fonction hépatique anormale a augmenté le SGPT. Rare: la bilirubinémie a augmenté SGOT.

Métabolique et nutritionnel: Peu fréquent: soif d'hyperglycémie. Rare: l'hypercholestérémie à la goutte, l'hyperlipidémie a augmenté la phosphatase alcaline a augmenté l'œdème périorbital BUN.

Système musculo-squelettique: Peu fréquent: arthrite. Rare: Tendinite de sciatica musculaire de l'arthrose.

Système de reproduction: Peu fréquent: Vaginite des troubles menstruels. RARE: Fibroadénose mammaire Néoplasme mammaire Douleur mammaire.

Système respiratoire: Fréquent: sinusite. Peu fréquent: dyspnée de toux de bronchite. Rare: bronchospasme dépression respiratoire épistaxis hypoxie laryngite pneumonie.

Peau et appendices: Peu fréquent: prurit. RARE: acné éruption bulle dermatite furunculose injection inflammation de l'inflammation de la réaction de photosensibilité urticaire.

Sens spéciaux: Fréquent: Dipropia Vision anormale. Peu fréquent: Sclérite de douleur oculaire de l'irritation oculaire Goûte la perversion des acouphènes. RARE: conjonctivite ulcération cornéenne Lacrimation parosmie anormale Photopsie.

Système urogénital: Fréquent: infection des voies urinaires. Peu fréquent: l'incontinence urinaire de la cystite. Rare: Fréquence de miction de l'insuffisance rénale aiguë Dyurie Nocturia polyurie pyélonéphrite Douleur rénale Rétention urinaire.

Expérience de commercialisation de la poste

Les effets indésirables suivants ont été identifiés lors de l'utilisation post-approbation d'Ambien CR. Étant donné que ces réactions sont rapportées volontairement d'une population de taille incertaine, il n'est pas toujours possible d'estimer de manière fiable leur fréquence ou d'établir une relation causale à l'exposition au médicament.

Système hépatique et biliaire: blessure hépatique choléstatique ou mélangée hépatocellulaire aiguë avec ou sans jaunisse (c'est-à-dire bilirubine> 2 × phosphatase alcaline uln ≥2 × transaminase uln ≥5 × uln). Troubles psychiatriques: délire

Interactions médicamenteuses for Ambien CR

Médicaments CNS-actifs

Dépresseurs du SNC

La co-administration de zolpidem avec d'autres dépresseurs du SNC augmente le risque de dépression du SNC. L'utilisation concomitante de zolpidem avec ces médicaments peut augmenter la somnolence et les troubles psychomotrices, y compris la capacité de conduite altérée [voir Avertissements et précautions ]. Zolpidem tartrate was evaluated in healthy volunteers in single-dose interaction studies for several CNS drugs.

Alcool

Un effet indésirable additif sur la performance psychomotrice entre l'alcool et le zolpidem oral a été démontré [voir Avertissements et précautions ].

Opioïdes

L'utilisation concomitante d'Ambien CR avec des opioïdes peut augmenter le risque de dépression respiratoire. Limiter la dose et la durée de l'utilisation concomitante d'ambien et d'opioïdes [voir Posologie et administration Avertissements et précautions ].

Chlorpromazine imipramine

L'imipramine en combinaison avec le zolpidem n'a produit aucune interaction pharmacocinétique autre qu'une diminution de 20% des niveaux maximaux d'imipramine, mais il y avait un effet additif d'une diminution de la vigilance. De même, la chlorpromazine en combinaison avec le zolpidem n'a produit aucune interaction pharmacocinétique, mais il y avait un effet additif d'une diminution de la vigilance et des performances psychomotrices [voir Pharmacologie clinique ].

Sertraline

L'administration concomitante de zolpidem et de sertraline augmente l'exposition à Zolpidem [voir Pharmacologie clinique ].

Fluoxétine

Après plusieurs doses de tartrate de zolpidem et de fluoxétine, une augmentation de la demi-vie de Zolpidem (17%) a été observée. Il n'y avait aucune preuve d'un effet additif sur la performance psychomotrice [voir Pharmacologie clinique ].

Halopéridol

Une étude impliquant l'halopéridol et le zolpidem n'a révélé aucun effet de l'halopéridol sur la pharmacocinétique ou la pharmacodynamique du zolpidem. L'absence d'interaction médicamenteuse après une administration à dose unique ne prédit pas l'absence d'un effet après l'administration chronique [voir Pharmacologie clinique ].

Médicaments qui affectent le métabolisme des médicaments via le cytochrome P450

Certains composés connus pour induire ou inhiber le CYP3A peuvent affecter l'exposition au zolpidem. L'effet des médicaments qui induisent ou inhibent d'autres enzymes P450 sur l'exposition à Zolpidem n'est pas connu.

Inducteurs CYP3A4

Rifampin

Rifampin a CYP3A4 inducer significantly reduced the exposure to and the pharmacodynamic effects of zolpidem. Use of Rifampin in combination with zolpidem may decrease the efficacy of zolpidem and is not recommended [see Pharmacologie clinique ].

Mur de St. John's

L'utilisation du moût de Saint-Jean un inducteur CYP3A4 en combinaison avec Zolpidem peut diminuer les taux sanguins de Zolpidem et n'est pas recommandé.

Inhibiteurs du CYP3A4

Kétoconazole

Kétoconazole a potent CYP3A4 inhibitor increased the exposure to and pharmacodynamic effects of zolpidem. Consideration should be given to using a lower dose of zolpidem when a potent CYP3A4 inhibitor and zolpidem are given together [see Pharmacologie clinique ].

Abus de drogues et dépendance

Substance contrôlée

Le tartrate de Zolpidem est classé comme une substance contrôlée par l'annexe IV par la réglementation fédérale.

Abus

Abus and addiction are separate and distinct from physical dependence and tolerance. Abus is characterized by misuse of the drug for non-medical purposes often in combination with other psychoactive substances. Tolerance is a state of adaptation in which exposure to a drug induces changes that result in a diminution of one or more of the drug effects over time. Tolerance may occur to both desired and undesired effects of drugs and may develop at different rates for different effects.

La dépendance est une maladie neurobiologique chronique primaire avec des facteurs génétiques psychosociaux et environnementaux influençant son développement et ses manifestations. Il se caractérise par des comportements qui incluent un ou plusieurs des éléments suivants: Contrôle altéré sur l'utilisation compulsive de l'utilisation compulsive Utilisation malgré le préjudice et l'envie. La toxicomanie est une maladie traitable utilisant une approche multidisciplinaire mais la rechute est courante.

Des études sur le potentiel d'abus chez les anciens toxicomanes ont révélé que les effets des doses uniques de tartrate de zolpidem 40 mg étaient similaires mais non identiques au diazépam 20 mg tandis que les effets de tartrate de zolpidem 10 mg étaient difficiles à distinguer du placebo.

Parce que les personnes ayant des antécédents de dépendance ou d'abus de drogues ou d'alcool courent un risque accru de maltraitance et de dépendance de zolpidem, ils doivent être surveillés soigneusement lors de la réception de zolpidem ou de tout autre hypnotique.

Dépendance

L'utilisation d'Ambien CR peut conduire au développement d'une dépendance physique et / ou psychologique. Ce risque de dépendance augmente avec la dose et la durée du traitement. Le risque d'abus et de dépendance est également plus élevé chez les patients ayant des antécédents d'alcool ou de toxicomanie. Ambien CR doit être utilisé avec une extrême prudence chez les patients souffrant d'alcool actuel ou passé ou de drogue.

Quelle classe de médicament est Bactrim

La dépendance physique est un état d'adaptation qui se manifeste par un syndrome de sevrage spécifique qui peut être produit par la cessation abrupte de réduction rapide de la dose diminuant le taux sanguin du médicament et / ou l'administration d'un antagoniste.

Les sédatifs / hypnotiques ont produit des signes de sevrage et des symptômes après une abrupture abrupte. Ces symptômes signalés vont de la dysphorie légère et de l'insomnie à un syndrome de sevrage qui peut inclure des crampes abdominales et musculaires vomissant les convulsions des tremblements de transpiration et le délire.

Les événements indésirables suivants qui sont considérés comme répondant aux critères DSM-III-R pour un retrait sédatif / hypnotique non compliqué ont été signalés lors des essais cliniques d'Ambien Cr après la substitution placebo se produisant dans les 48 heures suivant le dernier traitement du zolpide: les crampes de la fatigue des nausées de la fatigue et de l'abandon incontrôlé. Ces événements indésirables signalés se sont produits à une incidence de 1% ou moins. Cependant, les données disponibles ne peuvent pas fournir une estimation fiable de l'incidence si une dépendance pendant le traitement à des doses recommandées. Il y a eu des rapports post-commercialisation de dépendance et de retrait des abus avec Zolpidem.

Avertissements pour Ambien CR

Inclus dans le cadre du PRÉCAUTIONS section.

Précautions pour Ambien CR

Comportements de sommeil complexes

Des comportements de sommeil complexes, y compris la conduite de sommeil du sommeil et s'engager dans d'autres activités, bien que non éveillé peut se produire après la première utilisation ou toute utilisation ultérieure d'Ambien CR. Les patients peuvent être gravement blessés ou en blesser les autres lors de comportements de sommeil complexes. Ces blessures peuvent entraîner un résultat mortel. D'autres comportements de sommeil complexes (par exemple, préparer et manger des appels téléphoniques ou avoir des relations sexuelles) ont également été signalés. Les patients ne se souviennent généralement pas de ces événements. Des rapports de commercialisation de la post-commercialisation ont montré que des comportements de sommeil complexes peuvent se produire avec Ambien CR seul à des doses recommandées avec ou sans consommation concomitante d'alcool ou d'autres dépresseurs du système nerveux central (SNC) [voir Interactions médicamenteuses ]. Discontinue AMBIEN CR immediately if a patient experiences a complex sleep behavior [see Contre-indications ].

Effets du CNS-dépresseur et déficience le lendemain

Ambien CR est un dépresseur du SNC et peut altérer la fonction diurne chez certains patients même lorsqu'il est utilisé comme prescrit. Les prescripteurs doivent surveiller les effets dépresseurs excessives, mais une déficience peut se produire en l'absence de symptômes subjectives et ne peut pas être détectée de manière fiable par un examen clinique ordinaire (c'est-à-dire moins que les tests psychomotateurs formels). Bien que la tolérance ou l'adaptation pharmacodynamique à certains effets dépresseurs négatifs d'Ambien CR puissent développer des patients à l'aide d'Ambien CR, il faut être averti contre la conduite ou s'engager dans d'autres activités ou activités dangereuses nécessitant une vigilance mentale complète le lendemain de l'utilisation.

Les effets additifs se produisent avec une utilisation concomitante d'autres dépresseurs du SNC (par exemple, les antidépresseurs tricycliques d'opioïdes), y compris l'utilisation de la journée [voir Interactions médicamenteuses ]. Downward dose adjustment of AMBIEN CR and concomitant CNS depressants should be considered [see Posologie et administration ].

L'utilisation d'Ambien CR avec d'autres humbles d'hypnotiques sédatifs (y compris d'autres produits Zolpidem) au coucher ou au milieu de la nuit n'est pas recommandé.

Le risque de déficience psychomotrice du lendemain est augmenté si Ambien CR est pris avec moins d'une nuit complète de sommeil restant (7 à 8 heures); Si plus élevé que la dose recommandée est prise; s'il est co-administré avec d'autres dépresseurs du SNC ou de l'alcool; ou co-administré avec d'autres médicaments qui augmentent les taux sanguins de Zolpidem. Les patients doivent être avertis contre la conduite et d'autres activités nécessitant une vigilance mentale complète si Ambien CR est prise dans ces circonstances [voir Posologie et administration Études cliniques ].

Les conducteurs de véhicules et les opérateurs de machines doivent être avertis que, comme pour les autres hypnotiques, il peut y avoir un risque possible de réactions indésirables, notamment la somnolence prolongée du temps de réaction, les étourdissements somnolents / double vision réduits en vigueur et altération de la conduite le matin après le traitement. Afin de minimiser ce risque, une nuit complète de sommeil (7-8 heures) est recommandée.

Parce que Ambien CR peut provoquer une somnolence et une diminution du niveau de patients de conscience, en particulier les personnes âgées, sont plus à risque de chutes.

Besoin d'évaluer les diagnostics comorbides

Parce que les troubles du sommeil peuvent être la manifestation présentant un traitement symptomatique physique et / ou psychiatrique de l'insomnie ne doit être initié qu'après une évaluation minutieuse du patient. L'échec de l'insomnie à se remettre après 7 à 10 jours de traitement peut indiquer la présence d'une maladie psychiatrique et / ou médicale primaire qui doit être évaluée. L'aggravation de l'insomnie ou l'émergence de nouvelles anomalies de pensée ou de comportement peut être la conséquence d'un trouble psychiatrique ou physique non reconnu. De tels résultats ont émergé au cours du traitement avec des médicaments sédatifs / hypnotiques, notamment Zolpidem.

Réactions anaphylactiques et anaphylactoïdes sévères

Des cas d'œdème angio-œdème impliquant la langue glottis ou le larynx ont été signalés chez les patients après avoir pris les doses de première ou ultérieure d'hypnotiques sédatifs, y compris le zolpidem. Certains patients ont eu des symptômes supplémentaires tels que la fermeture de la gorge ou les nausées et les vomissements qui suggèrent l'anaphylaxie. Certains patients ont eu besoin d'un traitement médical aux urgences. Si l'œdème de l'angio-œdème implique la gorge de la gorge ou de l'obstruction des voies respiratoires du larynx peut se produire et être mortelle. Les patients qui développent l'œdème de l'angio après le traitement avec Zolpidem ne doivent pas être rechallés avec le médicament.

Pensée anormale et changements de comportement

Des changements anormaux de réflexion et de comportement ont été signalés chez les patients traités par sédatif / hypnotiques, dont Ambien CR. Certains de ces changements ont inclus une diminution de l'inhibition (par exemple l'agressivité et l'extraversion qui semblaient hors de caractère) l'agitation et la dépersonnalisation du comportement bizarre. Des hallucinations visuelles et auditives ont été signalées.

Dans les essais contrôlés <1% of adults with insomnia reported hallucinations. In a clinical trial 7% of pediatric patients treated with Ambien 0.25 mg/kg taken at bedtime reported hallucinations versus 0% treated with placebo [see Utiliser dans des populations spécifiques ]. There have been postmarketing reports of delirium with zolpidem use [see Effets indésirables ].

Il peut rarement être déterminé avec certitude si un exemple particulier des comportements anormaux énumérés ci-dessus est d'origine spontanée induite par le médicament ou à la suite d'un trouble psychiatrique ou physique sous-jacent. Néanmoins, l'émergence de tout nouveau signe comportemental ou symptôme de préoccupation nécessite une évaluation minutieuse et immédiate.

Utilisation chez les patients souffrant de dépression

Chez les patients principalement déprimés, traités par sédatif-hypnotiques, aggravant la dépression et les pensées et actions suicidaires (y compris les suicides terminés) ont été signalés. Des tendances suicidaires peuvent être présentes chez ces patients et des mesures de protection peuvent être nécessaires. Le surdosage intentionnel est plus courant dans ce groupe de patients; Par conséquent, le nombre le plus bas de comprimés qui est possible doit être prescrit au patient à la fois.

Dépression respiratoire

Bien que des études avec 10 mg de tartrate de zolpidem n'aient pas révélé les effets du dépresseur respiratoire à des doses hypnotiques chez des sujets sains ou chez les patients atteints de maladie pulmonaire obstructive chronique légère à modérée (CPOC), une réduction de l'indice d'excitation total avec une réduction de la plus faible saturation en oxygène et une augmentation de la période de la désaturation à l'oxygène inférieure à 80% et 90% Zolpidem par rapport au placebo. Étant donné que les sédatifs-hypnotiques ont la capacité de déprimer les précautions de conduite respiratoire devraient être prises si Ambien CR est prescrit aux patients présentant une fonction respiratoire compromis ou une utilisation concomitante avec des opioïdes ou d'autres dépresseurs du SNC. Les rapports post-commercialisation d'une insuffisance respiratoire chez les patients recevant 10 mg de tartrate de zolpidem dont la plupart avaient une déficience respiratoire préexistante ont été signalés. Le risque de dépression respiratoire doit être pris en compte avant de prescrire Ambien CR chez les patients souffrant de troubles respiratoires, y compris l'apnée du sommeil et la myasthénie grave ou avec une utilisation concomitante des opioïdes [voir Posologie et administration Interactions médicamenteuses ].

Précipitation de l'encéphalopathie hépatique

Les médicaments affectant les récepteurs GABA tels que le tartrate de zolpidem ont été associés à la précipitation de l'encéphalopathie hépatique chez les patients souffrant d'insuffisance hépatique. De plus, les patients atteints d'insuffisance hépatique n'éclat pas le tartrate de zolpidem aussi rapidement que les patients atteints de fonction hépatique normale. Évitez l'utilisation d'Ambien Cr chez les patients souffrant de troubles hépatiques graves car il peut contribuer à l'encéphalopathie [voir Posologie et administration Utiliser dans des populations spécifiques Pharmacologie clinique ].

Effets de sevrage

Il y a eu des rapports de signes de sevrage et de symptômes suite à la diminution rapide de la dose ou à l'arrêt brutal de Zolpidem. Surveiller les patients pour abus de tolérance et dépendance [voir Abus de drogues et dépendance ].

Informations de conseil des patients

Conseiller au patient de lire l'étiquetage des patients approuvé par la FDA ( Guide des médicaments ).

Informer les patients et leurs familles des avantages et des risques de traitement avec Ambien CR. Informez les patients de la disponibilité d'un guide de médicaments et demandez-leur de lire le guide de médicaments avant de lancer un traitement avec Ambien CR et à chaque recharge de prescription. Passez en revue le guide des médicaments Ambien CR avec chaque patient avant le début du traitement. Instruire les patients ou les soignants selon lesquels Ambien CR ne doit être pris que comme prescrit.

Comportements de sommeil complexes

Instruisez les patients et leurs familles qu'Ambien CR peut provoquer des comportements de sommeil complexes, notamment la préparation du sommeil du sommeil et la consommation d'appels téléphoniques ou des relations sexuelles sans être complètement éveillée. Des blessures graves et la mort se sont produites lors d'épisodes de comportement de sommeil complexes. Dites aux patients de cesser Ambien CR et informer immédiatement leur fournisseur de soins de santé s'ils développent l'un de ces symptômes [voir Avertissement en boîte Avertissements et précautions ].

Combien de temps Keflex est-il bon pour
Effets du CNS-dépresseur et déficience le lendemain

Dites aux patients qu'Ambien CR peut provoquer une déficience le lendemain même lorsqu'elle est utilisée comme prescrite et que ce risque est augmenté si les instructions de dosage ne sont pas soigneusement suivies. Attention aux patients contre la conduite et d'autres activités nécessitant une vigilance mentale complète le lendemain. Informez les patients que la déficience peut être présente malgré une sensation pleinement éveillée. Informer les patients qu'une somnolence accrue et une diminution de la conscience peuvent augmenter le risque de chutes chez certains patients [voir Avertissements et précautions ].

Réactions anaphylactiques et anaphylactoïdes sévères

Informer les patients que des réactions anaphylactiques et anaphylactoïdes graves se sont produites avec du zolpidem. Décrire les signes / symptômes de ces réactions et conseiller aux patients de consulter immédiatement un médecin si l'un d'eux se produit [voir Avertissements et précautions ].

Suicide

Dites aux patients de signaler immédiatement toute pensée suicidaire.

Alcool And Other Drugs

Demandez aux patients des médicaments à la consommation d'alcool qu'ils prennent et des médicaments qu'ils peuvent prendre sans ordonnance. Conseiller aux patients de ne pas utiliser Ambien CR s'ils buvaient de l'alcool ce soir-là ou avant le coucher.

Utilisation concomitante avec les opioïdes

Informez les patients et les soignants que des effets additifs potentiellement graves peuvent survenir si Ambien CR est utilisé avec les opioïdes et ne pas utiliser ces médicaments concomitante à moins d'être supervisé par un fournisseur de soins de santé [avertissements et précautions (5.2 5.7) interactions médicamenteuses (7.1)].

Abus de tolérance et dépendance

Dites aux patients de ne pas augmenter la dose d'Ambien CR par eux-mêmes et de vous informer s'ils croient que le médicament ne fonctionne pas.

Administration Instructions

Les patients doivent être informés de prendre Ambien CR juste avant de se coucher et uniquement lorsqu'ils sont en mesure de rester au lit une nuit complète (7-8 heures) avant d'être à nouveau active. Les comprimés Ambien CR ne doivent pas être pris avec ou immédiatement après un repas. Conseiller aux patients de ne pas prendre Ambien CR s'ils buvaient de l'alcool ce soir-là.

Grossesse

Conseiller aux patients d'informer leur professionnel de la santé s'ils tombent enceintes ou ont l'intention de devenir enceintes pendant le traitement par Ambien CR. Informer les patients que l'utilisation d'Ambien CR à la fin du troisième trimestre peut provoquer une dépression respiratoire et une sédation chez les nouveau-nés. Conseiller les mères qui ont utilisé Ambien CR à la fin du troisième trimestre de la grossesse pour surveiller les nouveau-nés pour des signes de somnolence (plus que d'habitude) des difficultés respiratoires ou de la lime [voir Utiliser dans des populations spécifiques ].

Lactation

Conseillez les mères allaitées utilisant Ambien CR pour surveiller les nourrissons pour une somnolence accrue (plus que d'habitude) des difficultés respiratoires ou une limite. Demandez aux mères qui allaitent les mères de demander des soins médicaux immédiats s'ils remarquaient ces signes. Une femme allaitante peut envisager de pomper et de jeter le lait maternel pendant le traitement et pendant 23 heures après l'administration Ambien CR pour minimiser l'exposition aux médicaments à un nourrisson allaité [voir Utiliser dans des populations spécifiques ].

Toxicologie non clinique

Carcinogenèse Mutagenèse A trouble de la fertilité

Cancérogenèse

Zolpidem a été administré à des souris et à des rats pendant 2 ans à des doses orales de 4 18 et 80 mg de base / kg / jour. Chez les souris, ces doses sont environ 2 9 et 40 fois le MRHD de 12,5 mg / jour (10 mg de base de zolpidem) sur la base de la surface corporelle Mg / m² et chez le rat, ces doses sont environ 4 18 et 80 fois le MRHD à base de surface corporelle Mg / m². Aucune preuve de potentiel cancérigène n'a été observée chez la souris. Chez le rat, les tumeurs rénales (lipome liposarcome) ont été observées à des doses moyennes et élevées.

Mutagenèse

Le zolpidem était négatif dans les tests de lymphome de souris in vitro (mutation bactérienne inverse et aberration chromosomique) et in vivo (micronucléus de souris).

Altération de la fertilité

Zolpidem a été administré à des rats à 4 20 et 100 mg de base / kg / jour qui sont environ 4 20 et 100 fois la MRHD de 12,5 mg / jour (10 mg de base de zolpidem) sur la base de la surface du corps Mg / m² avant et pendant l'accouplement et la continuation dans les femmes par les Femelles et le Précositual High-Cypide. testé qui est environ 100 fois la MRHD en fonction de la surface du corps Mg / m². Le NOAEL pour ces effets est 20 fois la MRHD basée sur la surface du corps Mg / M². Il n'y avait aucune altération de la fertilité à toute dose testée.

Utiliser dans des populations spécifiques

Grossesse

Résumé des risques

Des nouveau-nés nés de mères utilisant Zolpidem à la fin du troisième trimestre de la grossesse auraient ressenti des symptômes de dépression respiratoire et de sédation [voir Considérations et données cliniques ]. Published data on the use of zolpidem during pregnancy have not reported a clear association with zolpidem and major birth defects [see Données ]. Oral administration of zolpidem to pregnant rats and rabbits did not indicate a risk for adverse effects on fetal development at clinically relevant doses [see Données ].

Le risque de fond estimé des principaux malformations congénitales et une fausse couche pour les populations indiquées ne sont pas connues. Toutes les grossesses présentent un risque de fond de perte de maltraitance natale ou d'autres résultats indésirables. Dans la population générale américaine, le risque de fond estimé de malformations congénitales majeures et de fausse couche dans les grossesses cliniquement reconnues est respectivement de 2% à 4% et 15% à 20%.

Considérations cliniques

Réactions indésirables fœtales / néonatales

Zolpidem traverse le placenta et peut produire une dépression respiratoire et une sédation chez les nouveau-nés. Surveiller les nouveau-nés exposés à Ambien CR pendant la grossesse et le travail pour des signes d'hypotonie excessive de sédation et de dépression respiratoire et gérer en conséquence.

Données

Données humaines

Les données publiées des études d'observation des registres de naissance et des rapports de cas sur l'utilisation de Zolpidem pendant la grossesse ne signalent pas une association claire avec le zolpidem et les principales malformations congénitales.

Il y a des rapports de commercialisation limités de bourse de cas sévères à modérés de dépression respiratoire qui se sont produits après la naissance chez les nouveau-nés dont les mères avaient pris du zolpidem pendant la grossesse. Ces cas nécessitaient une ventilation artificielle ou une intubation intratrachéale. La majorité des nouveau-nés se sont rétablis en quelques heures à quelques semaines après la naissance une fois traité.

Il a été démontré que Zolpidem traverse le placenta.

Données sur les animaux

L'administration orale de zolpidem à des rats enceintes pendant la période d'organogenèse à 4 20 et 100 mg de base / kg / jour qui sont environ 4 20 et 100 fois la base humaine maximale recommandée (MRHD) de 12,5 mg / jour (10 mg de zolpidem base) à base de Mg / m² surface corporelle a provoqué un développement fœtal (incomplé doses de 20 et 100 fois le MRHD en fonction de la surface corporelle Mg / m².

L'administration orale de zolpidem aux lapins enceintes pendant la période d'organogenèse à 1 4 et 16 mg de base / kg / jour qui sont environ 2 8 et 30 fois la MRHD de 12,5 mg / jour (10 mg de base de zolpidem) sur la surface corporelle Mg / m² ont provoqué l'embryon de mort et une déchargement fœtal décomplétée (bodal-bodal bodal (incomplé Gain de poids) Dose 30 fois le MRHD en fonction de la surface du corps Mg / M².

L'administration orale de zolpidem aux rats enceintes du jour 15 de la gestation par lactation à 4 20 et 100 mg de base / kg / jour qui sont environ 4 20 et 100 fois le MRHD de 12,5 mg / jour (10 mg de base de zolpidem) sur une surface corporelle Mg / M².

Lactation

Résumé des risques

Les données limitées de la littérature publiée rapportent la présence de zolpidem dans le lait maternel. Il y a des rapports en excès de sédation chez les nourrissons exposés au zolpidem par lait maternel [voir Considérations cliniques ]. There is no information on the effects of zolpidem on milk production. The developmental and health benefits of breastfeeding should be considered along with the mother’s clinical need for AMBIEN CR and any potential adverse effects on the breastfed infant from AMBIEN CR or from the underlying maternal condition.

Considérations cliniques

Les nourrissons exposés à Ambien CR par lait maternel doivent être surveillés pour une hypotonie de sédation excessive et une dépression respiratoire. Une femme allaitante peut envisager d'interrompre l'allaitement maternel et de pomper et de jeter le lait maternel pendant le traitement et pendant 23 heures (environ 5 demi-vies d'élimination) après l'administration Ambien Cr afin de minimiser l'exposition aux médicaments à un nourrisson alimenté par le sein.

Usage pédiatrique

Ambien CR n'est pas recommandé pour une utilisation chez les enfants. La sécurité et l'efficacité du zolpidem chez les patients pédiatriques de moins de 18 ans n'ont pas été établies.

Dans une étude de 8 semaines chez les patients pédiatriques (âgés de 6 à 17 ans) atteints d'insomnie associée à un trouble de déficit d'attention / hyperactivité (TDAH), une solution orale de tartrate zolpidem dosé à 0,25 mg / kg à l'heure du coucher n'a pas diminué la latence du sommeil par rapport au placebo. Les troubles psychiatriques et le système nerveux comprenaient les réactions indésirables émergentes les plus fréquentes (> 5%) observées avec le zolpidem contre le placebo et les étourdissements (23,5% vs 1,5%) maux de tête (12,5% vs 9,2%) et des hallucinations ont été signalées dans 7% des patients pédiatriques qui ont reçu du zolpidem; Aucun des patients pédiatriques qui a reçu un placebo n'a signalé des hallucinations [voir Avertissements et précautions ]. Ten patients on zolpidem (7.4%) discontinued treatment due to an adverse reaction.

La FDA n'a pas nécessité d'études pédiatriques sur Ambien CR dans la population pédiatrique sur la base de ces résultats de l'efficacité et de la sécurité.

Utilisation gériatrique

Un total de 99 personnes âgées (≥ 65 ans) ont reçu des doses quotidiennes de 6,25 mg Ambien Cr dans une étude contrôlée par un placebo à 3 semaines. Le profil de réaction indésirable d'Ambien CR 6,25 mg dans cette population était similaire à celui d'Ambien CR 12,5 mg chez les adultes plus jeunes (≤ 64 ans). Des étourdissements ont été signalés chez 8% des patients traités par Ambien CR, contre 3% des personnes traitées avec un placebo.

La dose d'Ambien Cr chez les patients âgés est de 6,25 mg pour minimiser les effets indésirables liés aux performances motrices et / ou cognitives altérées et une sensibilité inhabituelle aux médicaments sédatifs / hypnotiques [voir Avertissements et précautions ].

Différence entre les sexes dans la pharmacocinétique

Les femmes dégagent le tartrate de zolpidem du corps à un rythme inférieur à celui des hommes. Les paramètres CMAX et AUC de Zolpidem à partir d'Ambien CR étaient respectivement d'environ 50% et 75% plus élevés à la même dose chez les sujets féminins adultes par rapport aux sujets masculins adultes. Entre 6 et 12 heures après le dosage des concentrations de zolpidem, 2 à 3 fois plus élevés chez les femmes adultes par rapport aux sujets masculins adultes. Étant donné les taux sanguins plus élevés de tartrate de zolpidem chez les femmes par rapport aux hommes à une dose donnée, la dose initiale recommandée d'Ambien CR pour les femmes adultes est de 6,25 mg et la dose recommandée pour les hommes adultes est de 6,25 ou 12,5 mg.

Chez les patients gériatriques, la dégagement de Zolpidem est similaire chez les hommes et les femmes. La dose recommandée d'Ambien CR chez les patients gériatriques est de 6,25 mg, quel que soit le sexe.

Trouble hépatique

La dose recommandée d'Ambien CR chez les patients présentant une déficience hépatique légère à modérée est de 6,25 mg une fois par jour immédiatement avant le coucher. Évitez l'utilisation d'Ambien Cr chez les patients souffrant de troubles hépatiques graves car il peut contribuer à l'encéphalopathie [voir Posologie et administration Avertissements et précautions Pharmacologie clinique ].

Informations sur la surdose pour Ambien CR

Signes et symptômes

Dans l'expérience post-commercialisation de la surdose avec le tartrate de zolpidem seul ou en combinaison avec une altération des agents du SNC-dépresseur de la conscience allant de la somnolence au compromis cardiovasculaire et / ou respiratoire du coma et des résultats mortels ont été signalés.

Traitement recommandé

Des mesures symptomatiques générales et de soutien doivent être utilisées avec un lavage gastrique immédiat le cas échéant. Les liquides intraveineux doivent être administrés au besoin. L'effet hypnotique sédatif de Zolpidem s'est avéré être réduit par le flinazenil et peut donc être utile; Cependant, l'administration du flulazenil peut contribuer à l'apparition de symptômes neurologiques (convulsions). Comme dans tous les cas de surdose de surdosage de la pression de respiration, la pression artérielle du pouls et d'autres signes appropriés doivent être surveillés et les mesures de soutien générales utilisées. L'hypotension et la dépression du SNC doivent être surveillées et traitées par une intervention médicale appropriée. Les médicaments sédatifs doivent être retenus après le surdosage du zolpidem même si l'excitation se produit. La valeur de la dialyse dans le traitement du surdosage n'a pas été déterminée, bien que des études d'hémodialyse chez les patients atteints d'insuffisance rénale recevant des doses thérapeutiques ont démontré que le zolpidem n'est pas dialysable.

Comme pour la gestion de tous les surdosages, la possibilité d'une ingestion de médicaments multiples doit être prise en compte. Le médecin peut vouloir envisager de contacter un centre de contrôle du poison pour des informations à jour sur la gestion de la surdosage des produits médicamenteux hypnotiques.

Contre-indications pour Ambien cr

Ambien CR est contre-indiqué chez les patients

  • qui ont connu des comportements de sommeil complexes après avoir pris Ambien CR [voir Avertissements et précautions ].
  • avec une hypersensibilité connue au zolpidem. Les réactions observées comprennent l'anaphylaxie et l'œdème de l'angio Avertissements et précautions ].

Pharmacologie clinique for Ambien CR

Mécanisme d'action

Zolpidem est un modulateur positif GABA A récepteur présumé exercer ses effets thérapeutiques dans le traitement à court terme de l'insomnie par la liaison au site de benzodiazépine de la sous-unité α1 contenant l'inhibition de GABA A augmentant la fréquence de l'ouverture du canal de chlorure, entraînant l'inhibition de l'excitation neuronale.

Pharmacodynamique

Zolpidem se lie aux récepteurs de GABA A avec une plus grande affinité pour la sous-unité α1 par rapport aux récepteurs contenant la sous-unité α2 et α3. Zolpidem n'a aucune affinité de liaison appréciable pour la sous-unité α5 contenant des récepteurs GABA A. Ce profil de liaison peut expliquer l'absence relative d'effets myorelaxants dans les études animales. Zolpidem n'a aucune affinité de liaison appréciable pour les récepteurs histaminergiques ou muscariniques adrénergiques ou muscariniques adrénergiques D2 dopaminergiques.

Pharmacocinétique

Ambien CR présente des caractéristiques d'absorption biphasique qui entraînent une absorption initiale rapide du tractus gastro-intestinal similaire à la libération immédiate du tartrate de zolpidem fournit ensuite des concentrations plasmatiques étendues au-delà de trois heures après l'administration. Une étude sur 24 sujets masculins en bonne santé a été mené pour comparer les profils de concentration plasmatique de zolpidem moyens obtenus après administration orale unique d'Ambien CR 12,5 mg et d'une formulation à libération immédiate de tartrate de zolpidem (10 mg). La demi-vie d'élimination terminale observée avec Ambien CR (12,5 mg) était similaire à celle obtenue avec le tartrate de zolpidem à libération immédiate (10 mg). Les profils moyens de concentration plasmatique sont illustrés à la figure 1.

Figure 1: Profils moyens de concentration plasmatique pour Ambien CR (12,5 mg) et tartrate de zolpidem à libération immédiate (10 mg)

Chez les patients adultes et âgés traités par Ambien CR, il n'y avait aucune preuve d'accumulation après une possibilité de dosage une fois par jour pendant jusqu'à deux semaines.

Absorption

Après l'administration d'Ambien CR administrée en tant que dose de 12,5 mg chez des sujets adultes mâles en bonne santé, la concentration moyenne de pic (CMAX) de Zolpidem était de 134 ng / ml (plage: 68,9 à 197 ng / ml) survenant à un moment médian (Tmax) de 1,5 heure. L'AUC moyen de Zolpidem était de 740 ng • hr / ml (plage: 295 à 1359 ng • hr / ml).

Une étude d'effets alimentaires chez 45 sujets sains a comparé la pharmacocinétique d'Ambien CR 12,5 mg lorsqu'il est administré pendant le jeûne ou dans les 30 minutes après un repas. Les résultats ont démontré qu'avec les aliments moyens de l'AUC et de la CMAX ont été diminués de 23% et 30% respectivement tandis que la TMAX médiane est passée de 2 heures à 4 heures. La demi-vie n'a pas été changée. Ces résultats suggèrent que pour un sommeil plus rapide, Ambien CR ne doit pas être administré avec ou immédiatement après un repas.

Distribution

La liaison totale des protéines s'est avérée être de 92,5 ± 0,1% et est restée constante indépendante de la concentration entre 40 et 790 ng / ml.

Métabolisme

Zolpidem est converti en métabolites inactifs qui sont éliminés principalement par excrétion rénale.

Élimination

Lorsque Ambien CR a été administré comme une seule dose de 12,5 mg chez des sujets adultes mâles en bonne santé, la demi-vie moyenne de l'élimination du zolpidem était de 2,8 heures (plage: 1,62 à 4,05 h).

Populations spéciales

Âgé

Chez 24 sujets sains (≥ 65 ans), ont administré une seule dose de 6,25 mg d'Ambien Cr, la concentration moyenne de pic (CMAX) de zolpidem était de 70,6 (plage: 35,0 à 161) ng / ml se produisant à un moment médian (Tmax) de 2,0 heures. L'AUC moyen de Zolpidem était de 413 ng • HR / ml (plage: 124 à 1190 ng • hr / ml) et la demi-vie d'élimination moyenne était de 2,9 heures (plage: 1,59 à 5,50 heures).

Trouble hépatique

Ambien CR n'a pas été étudié chez des patients souffrant de troubles hépatiques. La pharmacocinétique d'une formulation à libération immédiate du tartrate de zolpidem chez huit patients atteints d'insuffisance hépatique chronique a été comparée aux résultats de sujets sains. Après un seul mg de dose de tartrate de zolpidem de 20 mg, le CMAX et l'ASC se sont révélés être deux fois (250 vs 499 ng / ml) et cinq fois (788 vs 4203 ng • hr / ml) respectivement chez les patients compromis héliqués. Tmax n'a pas changé. La demi-vie moyenne chez les patients cirrhotiques de 9,9 heures (plage: 4,1 à 25,8 heures) était supérieure à celle observée chez des sujets normaux de 2,2 heures (plage: 1,6 à 2,4 h) [voir Posologie et administration Avertissements et précautions Utiliser dans des populations spécifiques ].

Trouble rénal

Ambien CR n'a pas été étudié chez les patients atteints de troubles rénaux. La pharmacocinétique d'une formulation à libération immédiate du tartrate de zolpidem a été étudiée chez 11 patients atteints d'insuffisance rénale terminale (CLCR moyen = 6,5 ± 1,5 ml / min) subissant une hémodialyse trois fois par semaine pour le tartrate de zolpidem 10 mg par voie orale chaque jour pendant 14 ou 21 jours. Aucune différence statistiquement significative n'a été observée pour la demi-vie CMAX Tmax et l'ASUC entre le premier et le dernier jour de l'administration du médicament lorsque des ajustements de concentration de base ont été effectués. Zolpidem n'était pas hémodialysable. Aucune accumulation de médicament inchangé n'est apparue après 14 ou 21 jours. La pharmacocinétique de Zolpidem n'était pas significativement différente chez les patients atteints d'altération rénale. Aucun ajustement posologique n'est nécessaire chez les patients présentant une fonction rénale compromise.

Interactions médicamenteuses

Dépresseurs du SNC

La co-administration de zolpidem avec d'autres dépresseurs du SNC augmente le risque de dépression du SNC [voir Avertissements et précautions ]. Zolpidem tartrate was evaluated in healthy volunteers in single-dose interaction studies for several CNS drugs. Imipramine in combination with zolpidem produced no pharmacokinetic interaction other than a 20% decrease in peak levels of imipramine but there was an additive effect of decreased alertness. Similarly chlorpromazine in combination with zolpidem produced no pharmacokinetic interaction but there was an additive effect of decreased alertness and psychomotor performance.

Une étude impliquant l'halopéridol et le zolpidem n'a révélé aucun effet de l'halopéridol sur la pharmacocinétique ou la pharmacodynamique du zolpidem. L'absence d'interaction médicamenteuse après une administration à dose unique ne prédit pas l'absence d'un effet après l'administration chronique.

Un effet indésirable additif sur la performance psychomotrice entre l'alcool et le zolpidem oral a été démontré [voir Avertissements et précautions ].

Après cinq doses nocturnes consécutives au coucher du tartrate de zolpidem oral 10 mg en présence de sertraline 50 mg (17 doses quotidiennes consécutives à 7h00 chez des bénévoles féminines en bonne santé) Zolpidem CMAX était significativement plus élevé (43%) et Tmax a été significativement diminué (-53%). La pharmacocinétique de la sertraline et du n-desméthylsertraline n'a pas été affectée par le zolpidem.

Une étude d'interaction à dose unique avec le tartrate de zolpidem 10 mg et la fluoxétine 20 mg à des niveaux à l'état d'équilibre chez les volontaires masculins n'a démontré aucune interaction pharmacocinétique ou pharmacodynamique cliniquement significative. Lorsque plusieurs doses de zolpidem et de fluoxétine ont été données à l'état d'équilibre et que les concentrations évaluées chez les femmes en bonne santé une augmentation de la demi-vie de Zolpidem (17%) ont été observées. Il n'y avait aucune preuve d'un effet additif sur la performance psychomotrice.

Médicaments qui affectent le métabolisme des médicaments via le cytochrome P450

Certains composés connus pour inhiber le CYP3A peuvent augmenter l'exposition au zolpidem. L'effet des inhibiteurs d'autres enzymes P450 sur la pharmacocinétique de Zolpidem est inconnu.

Une étude d'interaction à dose unique avec le tartrate de zolpidem 10 mg et l'itraconazole 200 mg à des niveaux à l'état d'équilibre chez les volontaires masculins a entraîné une augmentation de 34% de l'AUC0-∞ du tartrate de zolpidem. Il n'y a eu aucun effet pharmacodynamique du zolpidem détecté sur la somnolence subjective influence ou la performance psychomotrice de la somnolence.

Une étude d'interaction à dose unique avec le tartrate de zolpidem 10 mg et la rifampine 600 mg à des niveaux en régime permanent chez les sujets féminins a montré des réductions significatives de l'ASC (-73%) CMAX (-58%) et de T½ (-36%) du zolpidem ainsi que des réductions significatives dans les effets pharmacodynamiques du zolpidem Tartrate. L'inducteur de rifampin A CYP3A4 a considérablement réduit l'exposition et les effets pharmacodynamiques du zolpidem [voir Interactions médicamenteuses ].

De même, le mollet de Saint-Jean un inducteur CYP3A4 peut également diminuer les taux sanguins de Zolpidem.

A single-dose interaction study with zolpidem tartrate 5 mg and ketoconazole a potent CYP3A4 inhibitor given as 200 mg twice daily for 2 days increased Cmax of zolpidem (30%) and the total AUC of zolpidem (70%) compared to zolpidem alone and prolonged the elimination half-life (30%) along with an increase in the pharmacodynamic effects of zolpidem [voir Interactions médicamenteuses ].

De plus, la fluvoxamine (un fort inhibiteur du CYP1A2 et un faible inhibiteur du CYP3A4 et du CYP2C9) et de la ciprofloxacine (un fort inhibiteur du CYP1A2 et un inhibiteur modéré du CYP3A4) sont également susceptibles d'inhiber une augmentation du zolpidem.

Autres médicaments sans interactions avec Zolpidem

Une étude impliquant des combinaisons de tartrate de cimétidine / zolpidem et de ranitidine / zolpidem n'a révélé aucun effet de l'une ou l'autre des médicaments sur la pharmacocinétique ou la pharmacodynamique de Zolpidem.

Le tartrate de zolpidem n'a eu aucun effet sur la pharmacocinétique de la digoxine et n'a pas affecté le temps de prothrombine lorsqu'il est donné avec la warfarine chez des sujets sains.

Études cliniques

Essais cliniques contrôlés

Ambien CR a été évalué dans trois études contrôlées par placebo pour le traitement des patients atteints d'insomnie primaire chronique (telle que définie dans le manuel diagnostique et statistique de l'APA des troubles mentaux DSM IV ™).

Les patients externes adultes (18-64 ans) avec une insomnie primaire (n = 212) ont été évalués dans un essai de 3 semaines de groupe parallèle randomisé en double aveugle comparant Ambien CR 12,5 mg et placebo. Ambien CR 12,5 mg a diminué le temps de réveil après le début du sommeil (WASO) pendant les 7 premières heures au cours des 2 premières nuits et pendant les 5 premières heures après 2 semaines de traitement. Ambien CR 12,5 mg était supérieur au placebo sur des mesures objectives (enregistrements de polysomnographie) de l'induction du sommeil (en diminuant la latence au sommeil persistant [LPS]) pendant les 2 premières nuits de traitement et après 2 semaines de traitement. Ambien CR 12,5 mg était également supérieur au placebo sur le patient a signalé une impression mondiale concernant l'aide à dormir après les 2 premières nuits et après 3 semaines de traitement.

Âgé outpatients (≥65 years) with primary insomnia (N=205) were evaluated in a double-blind randomized parallel-group 3-week trial comparing Ambien CR 6,25 mg and placebo. Ambien CR 6,25 mg decreased wake time after sleep onset (WASO) for the first 6 hours during the first 2 nights and the first 4 hours after 2 weeks of treatment. Ambien CR 6,25 mg was superior to placebo on objective measures (polysomnography recordings) of sleep induction (by decreasing LPS) during the first 2 nights of treatment and after 2 weeks on treatment. Ambien CR 6,25 mg was superior to placebo on the patient reported global impression regarding the aid to sleep after the first 2 nights and after 3 weeks of treatment.

Dans les deux études chez les patients traités par la polysomnographie Ambien CR, a montré une éveil accru à la fin de la nuit par rapport aux patients traités par placebo.

Dans une étude randomisée contrôlée par un placebo en double aveugle de 24 semaines chez les patients externes adultes (18-64 ans) avec une insomnie primaire (n = 1025) Ambien CR 12,5 mg administrée selon les besoins (3 à 7 nuits par semaine) était supérieure au placebo sur 24 semaines sur l'impression mondiale du patient concernant les assistations pour le sommeil et sur une augmentation significative des paramètres de sommeil pour le sommeil.

Études pertinentes aux problèmes de sécurité des médicaments sédatifs / hypnotiques

Effets résiduels du lendemain

Dans cinq études cliniques (trois études contrôlées chez des adultes [18-64 ans] ont administré Ambien CR 12,5 mg et deux études contrôlées chez les personnes âgées [≥65 ans] Ambien CR 6,25 mg ou 12,5 mg) L'effet d'Ambien CR sur la mémoire de vigilance ou la fonction motrice a été évalué en utilisant des tests neurocognitifs. Dans ces études, aucune diminution significative des performances n'a été observée huit heures après une dose nocturne. De plus, aucune preuve d'effets résiduelles du lendemain n'a été détectée avec Ambien CR 12,5 mg et 6,25 mg en utilisant des auto-évaluations de sédation.

Au cours des études de 3 semaines, la somnolence du lendemain a été signalée par 15% des patients adultes qui ont reçu 12,5 mg d'ambien CR contre 2% du groupe placebo; La somnolence du lendemain a été signalée par 6% des patients âgés qui ont reçu 6,25 mg ambien CR contre 5% du groupe placebo [voir Effets indésirables ]. In a 6-month study the overall incidence of next-day somnolence was 5.7% in the AMBIEN CR group as compared to 2% in the placebo group.

Effets de rebond

L'insomnie du rebond définie comme une aggravation dose-dépendante dans les paramètres du sommeil (efficacité du sommeil de latence et nombre d'éveil) par rapport à la ligne de base après l'arrêt du traitement est observée avec l'hypnotique à action courte et intermédiaire. Dans les deux études contrôlées par un placebo de 3 semaines chez les patients atteints d'insomnie primaire, un effet de rebond n'a été observé que la première nuit après l'arrêt abrupte de l'Ambien CR. La deuxième nuit, il n'y a pas eu d'aggravation par rapport à la base de référence dans le groupe Ambien CR.

Dans une étude contrôlée par placebo de 6 mois dans laquelle Ambien CR a été prise au besoin (3 à 7 nuits par semaine) au cours du premier mois, un effet de rebond a été observé pour le temps de sommeil total (pas pour WASO) pendant le premier médicament de nuit. Après cette période de premier mois, aucune autre insomnie de rebond n'a été observée. Après l'arrêt du traitement final, aucun rebond n'a été observé.

Informations sur les patients pour Ambien CR

AMBIEN CR®
(Am'be-en Voir Ahr)
(tartrate zolpidem) Comprimés à libération étendue pour usage oral c-iv

Quelles sont les informations les plus importantes que je devrais connaître sur Ambien CR?

Ambien CR peut provoquer des effets secondaires graves, notamment:

Comportements de sommeil complexes. Après avoir pris Ambien CR, vous pouvez vous lever du lit sans être complètement éveillé et faire une activité que vous ne savez pas que vous faites. Le lendemain matin, vous ne vous souvenez peut-être pas que vous avez fait quoi que ce soit pendant la nuit. Ces activités peuvent se produire avec Ambien CR, que vous buviez ou non de l'alcool ou que vous preniez d'autres médicaments qui vous rendent somnolent. Certains de ces comportements de sommeil complexes ont causé des blessures graves et la mort. Les personnes qui prennent Ambien CR ont rapporté:

  • somnolence
  • somnolence
  • Faire et manger de la nourriture
  • parler au téléphone
  • avoir des relations sexuelles

Arrêtez de prendre Abmien CR et dites immédiatement votre fournisseur de soins de santé si vous découvrez que vous avez fait l'une des activités ci-dessus après avoir pris Ambien CR.

Qu'est-ce que Ambien CR?

Ambien CR est un médicament contre le sommeil sur ordonnance utilisé pour le traitement des adultes qui ont du mal à s'endormir ou à rester endormis (insomnie).

  • On ne sait pas si Ambien CR est sûr et efficace chez les enfants de moins de 18 ans. Ambien CR n'est pas recommandé pour une utilisation chez les enfants de moins de 18 ans.
  • Ambien CR est une substance contrôlée par le gouvernement fédéral (C-IV) car elle peut être abusée ou entraîner une dépendance. Gardez Ambien CR dans un endroit sûr pour le protéger du vol. Ne donnez jamais à votre Ambien CR à quelqu'un d'autre car cela peut causer la mort ou leur faire du mal. Vendre ou donner ce médicament est contraire à la loi.

Ne prenez pas Ambien CR si vous:

  • ont eu des comportements de sommeil complexes qui se sont produits après avoir pris Ambien CR dans le passé. Voir Quelles sont les informations les plus importantes que je devrais connaître sur Ambien CR?
  • sont allergiques à Zolpidem ou à l'un des ingrédients d'Ambien CR. Voir la fin de ce guide de médicaments pour une liste complète des ingrédients dans Ambien CR.

Avant de prendre Ambien CR, informez votre fournisseur de soins de santé de toutes vos conditions médicales, y compris si vous:

  • avoir des antécédents de dépression maladie mentale ou de pensées ou d'actions suicidaires
  • avoir des antécédents d'abus de drogue ou d'alcool ou de dépendance
  • avoir une maladie des reins ou du foie
  • avoir une maladie pulmonaire ou des problèmes respiratoires
  • avoir une apnée du sommeil
  • avoir myasthénie grave
  • sont enceintes ou prévoient de devenir enceintes. Prendre Ambien CR au troisième trimestre de la grossesse peut nuire à votre bébé à naître.
    • Dites à votre fournisseur de soins de santé si vous devenez enceinte ou prévoyez de tomber enceinte pendant le traitement avec Ambien CR.
    • Les bébés nés de mères qui prennent Ambien CR au cours du troisième trimestre de la grossesse peuvent avoir des symptômes de problèmes respiratoires et de sédation (comme la somnolence ou le ton musculaire faible).
  • allaitent ou prévoient d'allaiter. Ambien CR passe dans votre lait maternel. Parlez à votre fournisseur de soins de santé de la meilleure façon de nourrir votre bébé pendant que vous prenez Ambien CR.

Parlez à votre fournisseur de soins de santé de tous les médicaments que vous prenez y compris les médicaments sur ordonnance et en vente libre des vitamines et des suppléments à base de plantes.

Ambien CR et d'autres médicaments peuvent interagir les uns avec les autres, provoquant de graves effets secondaires. Ambien CR peut affecter le fonctionnement des autres médicaments et d'autres médicaments peuvent affecter le fonctionnement d'Ambien CR.

Parlez surtout de votre fournisseur de soins de santé si vous:

  • prendre des benzodiazépines
  • Prenez des opioïdes car il peut augmenter le risque de problèmes respiratoires (dépression respiratoire).
  • prendre des antidépresseurs tricycliques
  • Prenez d'autres médicaments qui peuvent vous endormir ou affecter votre respiration (y compris d'autres médicaments Zolpidem)
  • boire de l'alcool

Vous pouvez demander à votre pharmacien une liste de médicaments qui interagissent avec Ambien CR.

Connaissez les médicaments que vous prenez. Gardez une liste d'entre eux pour montrer votre fournisseur de soins de santé et votre pharmacien lorsque vous obtenez un nouveau médicament.

Comment dois-je prendre Ambien CR?

  • Prenez Ambien CR exactement comme prescrit. Ne changez pas votre dose par vous-même. Dites à votre fournisseur de soins de santé si vous pensez qu'Ambien CR ne fonctionne pas pour vous.
  • Ambien CR est pour une utilisation à court terme uniquement. Le traitement avec Ambien CR doit être aussi court que possible car le risque de dépendance augmente plus vous êtes traité longtemps.
  • Prenez 1 comprimé Ambien CR une nuit juste avant le coucher.
  • Ne prenez pas Ambien CR si vous n'êtes pas en mesure de rester au lit une nuit complète (7 à 8 heures) avant d'être à nouveau actif.
  • Vous ne devez pas prendre Ambien CR avec ou juste après un repas. Ambien CR peut vous aider à vous endormir plus rapidement si vous le prenez à jeun.
  • Ne pas Prenez Ambien CR si vous buviez de l'alcool ce soir-là ou avant le coucher.
  • Avalez les comprimés Ambien CR entiers. Ne divisez pas les comprimés Crush ou mâcher les comprimés Ambien CR. Si vous ne pouvez pas avaler des comprimés Ambien CR entiers, dites à votre fournisseur de soins de santé. Vous pouvez avoir besoin d'un médicament différent.
  • Appelez votre fournisseur de soins de santé si vos problèmes de sommeil s'aggravent ou ne s'améliorent pas dans les 7 à 10 jours. Cela peut signifier qu'il y a une autre condition qui cause vos problèmes de sommeil.
  • Si vous prenez trop Ambien CR, appelez votre fournisseur de soins de santé ou allez immédiatement aux urgences de l'hôpital le plus proche.

Quels sont les effets secondaires possibles d'Ambien CR?

Ambien CR peut provoquer des effets secondaires graves, notamment:

  • Voir Quelles sont les informations les plus importantes que je devrais connaître sur Ambien CR?
  • Ambien CR peut vous rendre somnolent ou étourdi et peut ralentir votre réflexion et votre motricité. La somnolence le lendemain est courante mais peut être grave. Parce qu'Ambien CR peut vous rendre somnolent ou étourdi, vous êtes plus à risque de chutes.
    • Ne pas drive operate heavy machinery or do other dangerous activities until you know how AMBIEN CR affects you.
    • Ne pas boire de l'alcool or take opioids or other medicines that may make you sleepy or dizzy while taking AMBIEN CR without first talking to your healthcare provider. When taken with alcohol or other medicines that cause sleepiness or vertiges AMBIEN CR may make your sleepiness or vertiges much worse.
  • Réactions allergiques graves. Les symptômes comprennent un gonflement de la langue ou de la gorge du mal à respirer et des nausées et des vomissements. Obtenez une aide médicale d'urgence si vous obtenez ces symptômes après avoir pris Ambien CR.
  • Pensées et comportement anormaux. Les symptômes comprennent un comportement plus sortant ou agressif que la confusion normale (délire) des hallucinations d'agitation agitant une aggravation de la dépression et des pensées ou des actions suicidaires.
  • Risque de suicide et d'aggravation de la dépression. L'aggravation de la dépression, y compris les pensées et les actions suicidaires, peuvent se produire pendant le traitement avec des médicaments comme Ambien CR. Appelez votre professionnel de la santé immédiatement si vous développez des pensées de suicide mourant ou aggravant la dépression pendant le traitement avec Ambien CR.
  • Problèmes respiratoires. Voir avant de prendre Ambien CR, informez votre fournisseur de soins de santé de toutes vos conditions médicales, y compris si vous: Appelez votre fournisseur de soins de santé ou obtenez une aide médicale d'urgence immédiatement si vous développez des problèmes respiratoires pendant le traitement avec Ambien CR.
  • Problèmes avec votre système nerveux causés par une maladie hépatique grave (encéphalopathie hépatique).
  • Symptômes de sevrage. Vous pouvez avoir des symptômes de sevrage si vous cessez de prendre Ambien CR soudainement. Les symptômes de sevrage peuvent être graves et inclure les crampes à l'estomac et musculaires qui vomissent des crises de tremblement de transpiration et la confusion (délire). Parlez à votre fournisseur de soins de santé de l'arrêt lentement d'Ambien CR pour éviter les symptômes de sevrage.

Les effets secondaires les plus courants d'Ambien CR comprennent des maux de tête et des étourdissements.

Ce ne sont pas tous les effets secondaires d'Ambien CR.

Appelez votre médecin pour des conseils médicaux sur les effets secondaires. Vous pouvez signaler les effets secondaires à la FDA à 1 «FDA» à 1 «FDA».

Comment dois-je stocker Ambien CR?

  • Stockez Ambien CR entre à température ambiante entre 68 ° F à 77 ° F (20 ° C à 25 ° C).

Gardez Ambien CR et tous les médicaments hors de portée des enfants.

Informations générales sur l'utilisation sûre et efficace d'Ambien CR.

Les médicaments sont parfois prescrits à des fins autres que celles énumérées dans un guide de médicaments. N'utilisez pas Ambien CR pour une condition pour laquelle il n'a pas été prescrit. Ne donnez pas à Ambien CR à d'autres personnes même si elles présentent les mêmes symptômes que vous. Cela peut leur faire du mal. Vous pouvez demander à votre fournisseur de soins de santé ou à votre pharmacien d'information sur Ambien CR qui est écrit pour les professionnels de la santé.

Quels sont les ingrédients dans Ambien CR?

Ingrédient actif: tartrate de zolpidem

Ingrédients inactifs:

Les comprimés de 6,25 mg contiennent: le dioxyde de silicium colloïdal hypromellose lactose monohydrate de magnésium stéarate microcristallin de cellulose polyéthylène glycol bitartassium bitartassium bitart-étamiaire de sodium ferrique oxyde de sodium et dioxyde de titane.

Les comprimés de 12,5 mg contiennent: dioxyde de silicium colloïdal FD

Ce guide de médicaments a été approuvé par la Food and Drug Administration des États-Unis.