Logo

Nous Soulignons Fortement Que Le Site Est Uniquement À Des Fins D'Information.

Nous Ne Vendons, Ne Faisons Pas De Publicité Et Ne Recommandons Rien.

Les Informations Fournies Ici Ne Constituent Pas Des Conseils Médicaux Et Ne Sont Pas Destinées À Remplacer Une Évaluation Personnelle. Visite Chez Un Médecin, Un Pharmacien Ou Un Autre Professionnel De La Santé Qualifié.

Ne Vous Soignez Pas Vous-Même Et Consultez Toujours Un Spécialiste Avant D’Utiliser Tout Médicament.

Médicaments

Phenergan-codeine

Les Informations Présentées Sur Ce Site Ne Constituent Pas Un Avis Médical. Nous Ne Vendons Rien. L'Exactitude De La Traduction N'Est Pas Garantie. Clause De Non-Responsabilité

Résumé

Qu'est-ce que Phenergan-Codéine?

La phenergan-codéine (codéine et prométhazine) est une combinaison d'un stupéfiant qui agit un analgésique et un suppresseur de toux et un antihistaminique utilisé pour traiter les symptômes du froid ou des allergies tels que les éternuements et la toux et la toux. Le nom de marque Phenergan-Codeine n'est plus disponible aux États-Unis Générique Les versions peuvent être disponibles.

Quels sont les effets secondaires de la phenergan-codeine?

La phenergan-codeine peut provoquer des effets secondaires graves, notamment:

  • La respiration lente avec de longues pauses
  • lèvres de couleur bleue
  • Difficile de se réveiller
  • respiration bruyante
  • soupirs
  • respiration peu profonde
  • somnolence extrême
  • confusion
  • Se sentir faible ou mou
  • mouvements musculaires incontrôlés dans votre visage les bras ou les jambes du cou
  • étourdissement
  • crise d'épilepsie
  • nausée
  • vomissement
  • perte d'appétit
  • vertiges
  • aggraver la fatigue ou la faiblesse
  • muscles très raides (rigides)
  • forte fièvre
  • transpiration
  • confusion
  • Roigments cardiaques rapides ou inégaux
  • tremblements
  • agitation
  • hallucinations
  • tremblement
  • fréquence cardiaque rapide
  • perte de coordination et
  • diarrhée

Obtenez de l'aide médicale immédiatement si vous présentez l'un des symptômes énumérés ci-dessus.

Les effets secondaires courants de la codéine phenergan (codéine et prométhazine) comprennent:

  • somnolence
  • vertiges
  • envie de dormir
  • mal de tête
  • étourdissement
  • agitation
  • nervosité
  • anxiété
  • vision floue
  • sonner dans vos oreilles
  • estomac renversé
  • nausée
  • vomissement
  • constipation
  • Problèmes de sommeil (insomnie)
  • Augmentation de la transpiration
  • bouche sèche
  • éruption cutanée ou
  • rinçage (rougeur de chaleur ou ponceau sous votre peau).

Dites à votre médecin si vous avez des effets secondaires improbables mais graves de la phenergan-codeine, notamment:

  • comportements ou mouvements involontaires (par exemple, les mouvements de langue de tour de cou de rotation vers le cou) fixes)
  • Changements mentaux / d'humeur (par exemple, confusion des hallucinations)
  • Shaking (tremblements)
  • difficulté à uriner ou
  • faiblesse.

Cherchez des soins médicaux ou appelez le 911 à la fois si vous avez les effets secondaires graves suivants:

  • Des symptômes oculaires graves tels que la perte de vision soudaine floue du tunnel de vision de la vision de la vision des yeux ou de l'enflure ou de voir des halos autour des lumières;
  • Symptômes cardiaques graves tels que les battements cardiaques rapides ou battants; flotter dans votre poitrine; essoufflement; et des étourdissements soudains étourdisseurs ou s'évanouissant;
  • Maux de tête sévères Confusion Slurred Speech Bras ou Ligne Proulitude Trouble de la merde Perte de coordination Sentiment des muscles très rigides très rigides Fièvre élevée Propice ou des tremblements.

Ce document ne contient pas tous les effets secondaires possibles et d'autres peuvent survenir. Vérifiez auprès de votre médecin des informations supplémentaires sur les effets secondaires.

Dosage pour la codéine phenergan

La dose adulte de codéine et de prométhazine est de 1 cuillère à café (5 ml) toutes les 4 à 6 heures pour ne pas dépasser 30 ml en 24 heures. La dose pédiatrique est basée sur le poids de l'enfant.

Quelles substances ou suppléments de médicaments interagissent avec la phenergan-codeine?

La codéine et la prométhazine peuvent interagir avec les sédatifs ou les médicaments d'anxiété antidépresseurs narcotiques phénobarbitaux amobarbitaux secobarbitaux mao inhibiteurs atropine belladonna clidinium dicyclomine glycopyrrolate hyoscyamine méthscopolamine et scopolamine. Dites à votre médecin tous les médicaments que vous utilisez.

Phenergan-codeine pendant la grossesse et l'allaitement

Pendant la grossesse, ce médicament ne doit être utilisé que s'il est prescrit. Il n'est pas recommandé pour une utilisation au cours des 3 derniers mois de grossesse en raison d'un risque accru de symptômes de sevrage tels que l'irritabilité anormale / la diarrhée de pleurs persistante ou les convulsions. Dites à votre médecin si vous remarquez des symptômes dans votre nouveau-né. Ce produit passe dans le lait maternel et peut rarement avoir des effets indésirables sur un nourrisson infirmier. Dites à votre médecin si votre bébé développe une difficulté accrue à la somnolence pour nourrir ou avoir du mal à respirer. Consultez votre médecin avant l'allaitement. La codéine dans ce médicament peut être formé par l'habitude. Des symptômes de sevrage peuvent survenir si vous arrêtez soudainement ce médicament.

Informations Complémentaires

Notre centre de médicaments aux effets secondaires de la codéine phenergan (codéine et prométhazine) offre une vue complète des informations sur les médicaments disponibles sur les effets secondaires potentiels lors de la prise de ce médicament.

Informations sur les médicaments de la FDA

  • Description de la drogue
  • Indications
  • Dosage
  • Effets secondaires
  • Interactions médicamenteuses
  • Avertissements
  • Surdosage
  • Contre-indications
  • Pharmacologie clinique
  • Guide des médicaments

AVERTISSEMENT

La dépression respiratoire chez les enfants et la mort liées au métabolisme ultra-rapide de la codéine à la morphine

Dépression respiratoire chez les enfants

La combinaison du chlorhydrate de prométhazine et du phosphate de codéine est contre-indiquée chez les patients pédiatriques de moins de 6 ans. L'administration concomitante de produits de prométhazine avec d'autres dépresseurs respiratoires a une association avec la dépression respiratoire et parfois la mort chez les patients pédiatriques.

Les cas de commercialisation post-commercialisation de dépression respiratoire, y compris des décès, ont été signalés avec l'utilisation de chlorhydrate de prométhazine chez les patients pédiatriques de moins de 2 ans. Une large gamme de doses basées sur le poids de chlorhydrate de prométhazine a entraîné une dépression respiratoire chez ces patients.

Décès lié au métabolisme ultra-rapide de la codéine à la morphine

La dépression respiratoire et la mort se sont produites chez les enfants qui ont reçu de la codéine après amygdalectomie et / ou adénoïdectomie et ont eu des signes de métaboliseurs ultra-rapides de la codéine due à un polymorphisme du CYP2D6.

Description de Phenergan-codeine

Chaque 5 ml (une cuillère à café) pour l'administration orale contient: chlorhydrate de prométhazine 6,25 mg; Phosphate de codéine 10 mg dans une base de sirop aromatisée avec un pH entre 4,8 et 5,4. Alcool 7%.

Ingrédients inactifs: saveurs artificielles et naturelles acide citrique D

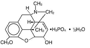
La codéine est l'un des alcaloïdes phénanthrène naturels d'opium dérivés du coquelicot de l'opium, il est classé pharmacologiquement comme un analgésique narcotique. Le phosphate de codéine peut être conçu chimiquement comme 78-didehydro-4 5α-époxy-3-méthoxy-17-méthylmorphinan-6-α-OL phosphate (1: 1) (sel) hémihydraté.

Le sel de phosphate de codéine se produit sous forme de cristaux blancs en forme d'aiguille ou de poudre cristalline blanche. Le phosphate de codéine est librement soluble dans l'eau et légèrement soluble dans l'alcool. Il a un poids moléculaire de 406,37 une formule moléculaire de C18H21NON3• H.3Pote4 • ½ h2O et la formule structurelle suivante:

Chlorhydrate de prométhazine Un dérivé de phénothiazine est chimiquement désigné comme (±) -10- [2 (diméthylamino) propyl] propyl] phénothiazine monohydrochlorhydrate.

Le chlorhydrate de prométhazine se produit comme une poudre cristalline de jaune blanche à un jaune pratique pratiquement inodore qui oxyde lentement et devient bleu sur une exposition prolongée à l'air. Il est librement soluble dans l'eau et soluble dans l'alcool. Il est soluble dans l'eau et librement soluble dans l'alcool. Il a un poids moléculaire de 320,88 une formule moléculaire de C17H20N2S • HCl et la formule structurelle suivante:

Utilisations pour la codéine phenergan

La solution orale de la prométhazine HCl et le phosphate de codéine est indiquée pour le soulagement temporaire des toux et des symptômes respiratoires supérieurs associés à une allergie ou au rhume chez les patients de 18 ans et plus.

Limites importantes de l'utilisation

Non indiqué pour les patients pédiatriques de moins de 18 ans [voir Utiliser dans des populations spécifiques ].

Contre-indiqué chez les patients pédiatriques de moins de 12 ans [voir Contre-indications Utiliser dans des populations spécifiques ].

Contre-indiqué chez les patients pédiatriques de 12 à 18 ans après amygdalectomie ou adénoïdectomie [voir Contre-indications Utiliser dans des populations spécifiques ].

Effets secondaires de Lyrica 100 mg

En raison des risques de maltraitance et d'utilisation abusive des opioïdes même à des doses recommandées [voir AVERTISSEMENTS AND PRÉCAUTIONS ] Réserve la solution orale de la prométhazine HCl et de la codéine pour une utilisation chez les patients adultes pour lesquels les avantages de la suppression de la toux devraient l'emporter sur les risques et chez qui une évaluation adéquate de l'étiologie de la toux a été faite.

Dosage pour la codéine phenergan

Instructions importantes de posologie et d'administration

Administrer la solution orale de phosphate de HCl et de codéine par la prométhazine par la route orale uniquement. Utilisez toujours un dispositif de mesure précis du millilitre lors de l'administration de la solution orale de phosphate de HCl et de codéine pour garantir la mesure de la dose et l'administration avec précision. Une cuillère à café de ménage n'est pas un dispositif de mesure précis et pourrait entraîner un surdosage [voir AVERTISSEMENTS AND PRÉCAUTIONS ]. For prescriptions where a measuring device is not provided a pharmacist can provide an appropriate measuring device and can provide instructions for measuring the correct dose. Ne pas overfill. Rinse the measuring device with water after each use.

Conseiller aux patients de ne pas augmenter la dose ou la fréquence de dosage de la solution orale de la prométhazine HCl et du phosphate de codéine car des événements indésirables graves tels que la dépression respiratoire peuvent survenir avec un surdosage [voir AVERTISSEMENTS AND PRÉCAUTIONS Sur-ladosage ]. The dosage of Prométhazine HCl et codéine phosphate Solution orale should not be increased if cough fails to respond; an unresponsive cough should be reevaluated for possible underlying pathology [see Posologie et administration AVERTISSEMENTS AND PRÉCAUTIONS ].

Dosage recommandé

Adultes de 18 ans et plus

5 ml toutes les 4 à 6 heures au besoin pour ne pas dépasser 6 doses (30 ml) en 24 heures.

Surveillance de l'entretien et de l'arrêt de la thérapie

Prescrire une solution orale de phosphate de HCL et de codéine pour la plus courte durée qui est conforme aux objectifs individuels de traitement des patients [voir AVERTISSEMENTS AND PRÉCAUTIONS ].

Surveillez les patients étroitement pour la dépression respiratoire, en particulier dans les 24 à 72 premières heures de traitement parmi [voir AVERTISSEMENTS AND PRÉCAUTIONS ].

Réévaluer les patients atteints de toux insensible en 5 jours ou plus tôt pour une éventuelle pathologie sous-jacente telle que le corps étranger ou la maladie des voies respiratoires inférieures [voir AVERTISSEMENTS AND PRÉCAUTIONS ]. If a patient requires a refill reevaluate the cause of the cough and assess the need for continued treatment with Prométhazine HCl et codéine phosphate Solution orale the relative incidence of adverse reactions and the development of addiction abuse or misuse [see AVERTISSEMENTS AND PRÉCAUTIONS ].

N'arrêtez pas brusquement à la solution orale de la prométhazine HCl et du phosphate de codéine chez un patient physiquement dépendant [voir Abus de drogues et dépendance ]. When a patient who has been taking Prométhazine HCl et codéine phosphate Solution orale regularly and may be physically dependent no longer requires therapy with Prométhazine HCl et codéine phosphate Solution orale taper the dose gradually by 25% to 50% every 2 to 4 days while monitoring carefully for signs and symptoms of withdrawal. If the patient develops these signs or symptoms raise the dose to the previous level and taper more slowly either by increasing the interval between decreases decreasing the amount of change in dose or both.

Comment fourni

Dosage Forms And Strengths

Solution orale

Chaque 5 ml contient du phosphate de codéine 10 mg et du chlorhydrate de prométhazine 6,25 mg dans une base de sirop aromatisée [voir DESCRIPTION ].

Stockage et manipulation

Prométhazine HCl et codéine phosphate Solution orale 6.25 mg and 10 mg per 5 mL is a clear purple solution supplied as:

Numéro NDCTaille
62559-778-044 fl. Oz. (118 ml) bouteille
62559-778-1616 fl. Oz. (473 ml) bouteille

Gardez les bouteilles bien fermées.

Stocker à 20 ° à 25 ° C (68 ° à 77 ° F). [Voir Température ambiante contrôlée par l'USP .]

Protéger de la lumière.

Dispenser dans un récipient serré résistant à la lumière (USP / NF) avec une fermeture résistante à l'enfant.

Assurez-vous que les patients ont un distributeur de dosage oral qui mesure le volume approprié en millilitres. Conseiller les patients sur la façon d'utiliser un distributeur de dosage oral et de mesurer correctement la suspension orale comme prescrit.

Fabriqué pour: ANI Pharmaceuticals Inc. Baudette MN 56623. Révisé: déc. 2023

Effets secondaires for Phenergan-Codéine

Les réactions indésirables graves suivantes sont décrites ou décrites plus en détail dans d'autres sections:

  • Abus et abus de la toxicomanie [voir AVERTISSEMENTS AND PRÉCAUTIONS Abus de drogues et dépendance ]
  • Dépression respiratoire potentiellement mortelle [voir AVERTISSEMENTS AND PRÉCAUTIONS Sur-ladosage ]
  • Métabolisme ultra-rapide de la codéine et autres facteurs de risque de dépression respiratoire potentiellement mortelle chez les enfants [voir AVERTISSEMENTS AND PRÉCAUTIONS ]
  • Surdose accidentelle et décès en raison d'erreurs de médicaments [voir AVERTISSEMENTS AND PRÉCAUTIONS ]
  • Diminution de la vigilance mentale avec une altération des capacités mentales et / ou physiques [voir AVERTISSEMENTS AND PRÉCAUTIONS ]
  • Interactions avec les benzodiazépines et autres dépresseurs du SNC [voir AVERTISSEMENTS AND PRÉCAUTIONS ]
  • Iléus paralytique Ileus gastro-intestinal réactions indésirables [voir AVERTISSEMENTS AND PRÉCAUTIONS ]
  • Augmentation de la pression intracrânienne [voir AVERTISSEMENTS AND PRÉCAUTIONS ]
  • Évolution clinique obscurcie chez les patients souffrant de traumatismes crâniens [voir AVERTISSEMENTS AND PRÉCAUTIONS ]
  • Syndrome malin neuroleptique [voir AVERTISSEMENTS AND PRÉCAUTIONS ]
  • Réactions paradoxales, y compris les dystonies [voir AVERTISSEMENTS AND PRÉCAUTIONS ]
  • Convulsions [voir AVERTISSEMENTS AND PRÉCAUTIONS ]
  • Interactions avec maoi [voir AVERTISSEMENTS AND PRÉCAUTIONS ]
  • Suppression de la moelle osseuse [voir AVERTISSEMENTS AND PRÉCAUTIONS ]
  • Hypotension sévère [voir AVERTISSEMENTS AND PRÉCAUTIONS ]
  • Syndrome de retrait des opioïdes néonatal [voir AVERTISSEMENTS AND PRÉCAUTIONS ]
  • Insuffisance surrénale [voir AVERTISSEMENTS AND PRÉCAUTIONS ]

Les effets indésirables suivants ont été identifiés au cours des études cliniques dans la littérature ou lors de l'utilisation post-approbation de la codéine et / ou de la prométhazine. Étant donné que ces réactions peuvent être rapportées volontairement à partir d'une population de taille incertaine, il n'est pas toujours possible d'estimer de manière fiable leur fréquence ou d'établir une relation causale à l'exposition aux médicaments.

Les réactions indésirables les plus courantes à la solution orale de phosphate de HCl et de codéine les plus courantes comprennent: la sédation (somnolence mental nuageuse léthargie) altéré les performances mentales et physiques étourdies étourdisseurs étourdisseurs de maux de tête nausées nausées vomissant la constipation qui suit la transpiration.

D'autres réactions incluent

Anaphylaxie

Anaphylaxie has been reported with codeine one of the ingredients in Prométhazine HCl et codéine phosphate Solution orale.

Le corps dans son ensemble

Coma Death Fatigue Falling Buthes Lethargy. Cardiovasculaire: œdème périphérique a augmenté la pression artérielle a diminué la pression artérielle tachycardie douleur thoracique Palpitation Syncope orthostatique Hypotension prolongée intervalle QT Hot Flush.

Système nerveux central

Ataxie diplopie dyskinésie faciale d'insomnie migraine a augmenté la crise de pression intracrânienne Vertigo Tremor Tremor.

Dermatologique

Rinçage de l'hyperhidrose Photosensibilité prurit éruption urticaire. Endocrinien / métabolique: cas de syndrome de sérotonine Une condition potentiellement potentiellement mortelle a été signalée lors de l'utilisation concomitante d'opioïdes avec des médicaments sérotoninergiques. Des cas d'insuffisance surrénale ont été signalés avec une consommation d'opioïdes plus souvent après un mois d'utilisation. Des cas de carence en androgène se sont produits avec une utilisation chronique d'opioïdes [voir Pharmacologie clinique ].

Gastro-intestinal

Douleur abdominale obstruction de l'intestin diminué la diarrhée de l'appétit difficulté à avaler la bouche sèche Rherd Indigestion Jaundice Pancréatite paralytique Ileus Biliary Tracts Spasme (spasme du sphincter d'Oddi).

Génito-urinaire

Infection des voies urinaires Spasme urétéral Spasme des sphincères vésicules Rétention urinaire.

Hématologique:

Agranulocytose de la moelle osseuse Agranulocytose L'anémie aplasique et la thrombocytopénie ont été signalées. Laboratoire: Augmentation de l'amylase sérique.

Musculo-squelettique

Arthralgia Dalle Mascle Spasme.

Ophtalmique

Vision floue Miose (élèves limités) Perturbations visuelles.

Réactions paradoxales

Dystonias Torticollis Longue Protrusion Hyperexcitabilité et mouvements anormaux ont été signalés à la suite d'une seule administration de prométhazine.

Psychiatrique

Agitation Anxiété Confusion Peur Dysphorie Hallucinations de dépression.

Reproducteur

Infertilité de l'hypogonadisme.

Respiratoire

Apnea Bronchite toux au nez sec de la gorge sèche Dyspnée Congestion nasale Nasopharyngite Dépression respiratoire Épaississement de la sinusite des sécrétions bronchiques de la poitrine et une respiration sifflante infection des voies respiratoires supérieures.

Autre

Abus de drogue Dépendance des médicaments Syndrome malin neuroleptique Syndrome de sevrage opioïde.

Hypoglycémie

Des cas d'hypoglycémie ont été signalés chez des patients prenant des opioïdes. La plupart des rapports se trouvaient chez les patients avec au moins un facteur de risque prédisposant (par exemple le diabète).

Interactions médicamenteuses for Phenergan-Codéine

Aucune étude spécifique d'interaction médicamenteuse n'a été menée avec la solution orale de phosphate de HCL et de codéine.

Inhibiteurs du CYP3A4

The concomitant use of Promethazine HCl and Codeine Phosphate Oral Solution with CYP3A4 inhibitors such as macrolide antibiotics (e.g. erythromycin) azole-antifungal agents (e.g. ketoconazole) or protease inhibitors (e.g. ritonavir) may result in an increase in codeine plasma concentrations with subsequently greater metabolism by Le cytochrome CYP2D6 entraînant des niveaux de morphine plus élevés qui pourraient augmenter ou prolonger les effets indésirables et peuvent provoquer une dépression respiratoire potentiellement mortelle, en particulier lorsqu'un inhibiteur est ajouté après une dose stable de prométhazine HCl et de phosphate de codéine AVERTISSEMENTS AND PRÉCAUTIONS ]. After stopping a CYP3A4 inhibitor as the effects of the inhibitor decline it may result in lower codeine levels greater norcodeine levels and less metabolism via CYP2D6 with resultant lower morphine levels [see Pharmacologie clinique ] entraînant une diminution de l'efficacité des opioïdes ou un syndrome de sevrage chez les patients qui avaient développé une dépendance physique à la codéine. Évitez l'utilisation de la solution orale de la prométhazine HCl et du phosphate de codéine tout en prenant un inhibiteur du CYP3A4. Si une utilisation concomitante est nécessaire, surveillez les patients pour la dépression respiratoire et la sédation à intervalles fréquents.

Inducteurs CYP3A4

L'utilisation concomitante de la solution orale de phosphate de HCL et de codéine et d'inducteurs de codéine et de CYP3A4 telles que la rifampine carbamazépine ou la phénytoïne peut entraîner des niveaux de codéine plus faibles plus élevés et moins de métabolisme via 2D6 avec des niveaux de morphine inférieurs qui en résultent [ Pharmacologie clinique ] entraînant une diminution de l'efficacité ou de l'apparition d'un syndrome de sevrage chez les patients qui ont développé une dépendance physique [voir AVERTISSEMENTS AND PRÉCAUTIONS ]. After stopping a CYP3A4 inducer as the effects of the inducer decline codeine plasma concentrations may increase with subsequently greater metabolism by cytochrome CYP2D6 resulting in greater morphine levels [see Pharmacologie clinique ] qui pourrait augmenter ou prolonger à la fois les effets thérapeutiques et les effets indésirables et peut provoquer une grave dépression respiratoire.

Évitez l'utilisation de la solution orale de la prométhazine HCl et du phosphate de codéine chez les patients qui prennent des inducteurs CYP3A4. Si l'utilisation concomitante d'un inducteur CYP3A4 est nécessaire, suivez le patient pour réduire l'efficacité.

Inhibiteurs du CYP2D6

La codéine est métabolisée par CYP2D6 pour former de la morphine. The concomitant use of Promethazine HCl and Codeine Phosphate Oral Solution and CYP2D6 inhibitors such as paroxetine fluoxetine bupropion or quinidine can increase the plasma concentration of codeine but can decrease the plasma concentration of active metabolite morphine which could result in reduced efficacy [see Pharmacologie clinique ].

Après avoir arrêté un inhibiteur du CYP2D6, car les effets de l'inhibiteur diminuent, la concentration plasmatique de codéine diminuera, mais la concentration plasmatique de morphine métabolite active augmentera, ce qui pourrait augmenter ou prolonger les effets indésirables et peut provoquer une dépression respiratoire potentiellement mortelle [voir Pharmacologie clinique ].

Évitez l'utilisation de la solution orale de la prométhazine HCl et du phosphate de codéine chez les patients qui prennent des inhibiteurs du CYP2D6.

Benzodiazépines et autres dépresseurs du SNC

En raison de l'effet pharmacologique additif, l'utilisation concomitante de benzodiazépines ou d'autres dépresseurs du SNC, y compris d'alcool d'autres sédatifs / hypnotiques, les tranquillisants anxulants anesthésiques généraux anesthésiques antipsychotiques et d'autres opioïdes peuvent augmenter le risque de dépression respiratoire de l'hypotension. Évitez l'utilisation de la solution orale de la prométhazine HCl et de la codéine chez les patients qui prennent des benzodiazépines ou d'autres dépresseurs du SNC. [voir AVERTISSEMENTS AND PRÉCAUTIONS ].

Drogues sérotoninergiques

L'utilisation concomitante d'opioïdes avec d'autres médicaments qui affectent le système de neurotransmetteur sérotoninergique a entraîné un syndrome de sérotonine. Si une utilisation concomitante est justifiée, observez soigneusement le patient, en particulier lors du début du traitement. Arrêtez la solution orale de la prométhazine HCl et du phosphate de codéine si le syndrome de la sérotonine est suspecté.

Inhibiteurs de la monoamine oxydase (MAOI)

Prométhazine HCl et codéine phosphate Solution orale is contraindicated in patients who are taking MAOIs (i.e. certain drugs used for depression psychiatric or emotional conditions or Parkinson’s disease) or avoir taken MAOIs within 14 days [see Contre-indications ].

Les interactions MAOI avec les opioïdes peuvent se manifester sous forme de syndrome de la sérotonine ou de toxicité opioïde (par exemple la dépression respiratoire coma) [voir AVERTISSEMENTS AND PRÉCAUTIONS ]. Drug interactions including an increased incidence of extrapyramidal effects avoir been reported when some MAOI and phenothiazines are used concomitantly.

Relaxants musculaires

La codéine peut améliorer l'action de blocage neuromusculaire des relaxants musculaires squelettiques et produire un degré accru de dépression respiratoire. Évitez l'utilisation de la solution orale de la prométhazine HCL et du phosphate de codéine chez les patients prenant des relaxants musculaires. Si une utilisation concomitante est nécessaire, surveillez les patients pour des signes de dépression respiratoire qui peuvent être plus importants que prévu.

Diurétiques

Les opioïdes peuvent réduire l'efficacité des diurétiques en induisant la libération d'hormone antidiurétique. Surveiller les patients pour des signes de diurèse diminuée et / ou d'effets sur la pression artérielle et d'augmenter la dose du diurétique au besoin.

Médicaments anticholinergiques

L'utilisation concomitante de médicaments anticholinergiques avec une solution orale de phosphate de HCl et de codéine peut augmenter le risque de rétention urinaire et / ou de constipation sévère qui peut conduire à l'iléus paralytique [voir AVERTISSEMENTS AND PRÉCAUTIONS ]. Monitor patients for signs of urinary retention or reduced gastric motility when Prométhazine HCl et codéine phosphate Solution orale is used concomitantly with anticholinergic drugs.

Les effets indésirables additifs résultant du blocage cholinergique (par exemple la vision ou la constipation floue de la xérostomie) peuvent se produire lorsque des médicaments anticholinergiques sont administrés avec de la prométhazine].

Abus de drogues et dépendance

Substance contrôlée

Prométhazine HCl et codéine phosphate Solution orale contains codeine a Schedule V controlled substance.

Abus

Codéine

Prométhazine HCl et codéine phosphate Solution orale contains codeine a substance with a high potential for abuse similar to other opioids including morphine and codeine. Prométhazine HCl et codéine phosphate Solution orale can be abused and is subject to misuse addiction and criminal diversion [see AVERTISSEMENTS AND PRÉCAUTIONS ].

Tous les patients traités avec des opioïdes nécessitent une surveillance minutieuse pour les signes d'abus et de dépendance, car l'utilisation de produits analgésiques et antitusisifs opioïdes comporte le risque de dépendance même sous une utilisation médicale appropriée.

L'abus de médicaments sur ordonnance est l'utilisation intentionnelle non thérapeutique d'un médicament sur ordonnance même une fois pour ses effets psychologiques ou physiologiques enrichissants.

La toxicomanie est un groupe de phénomènes cognitifs et physiologiques comportementaux qui se développent après la consommation de substances répétés et comprennent: un fort désir de prendre les difficultés de médicament à contrôler son utilisation persistant dans son utilisation malgré les conséquences nocives une priorité plus élevée à la consommation de drogue qu'à d'autres activités et obligations a accru la tolérance et parfois un sevrage physique.

Le comportement de recherche de médicaments est très fréquent chez les personnes atteintes de troubles de la consommation de substances. Les tactiques de recherche de médicaments comprennent des appels ou des visites d'urgence vers la fin des heures de bureau Refus de subir des tests d'examen appropriés ou une perte répétée de référence de falsification d'ordonnances de prescriptions et de réticence à fournir des dossiers médicaux ou des coordonnées préalables pour d'autres fournisseurs de soins de santé traitants. Les achats de médecins (visiter plusieurs prescripteurs pour obtenir des prescriptions supplémentaires) sont courants chez les toxicomanes et les personnes souffrant de dépendance non traitée. La préoccupation de l'obtention d'un soulagement adéquate de la douleur peut être un comportement approprié chez un patient présentant un mauvais contrôle de la douleur.

Abus and addiction are separate and distinct from physical dependence and tolerance. Health care providers should be aware that addiction may not be accompanied by concurrent tolerance and symptoms of physical dependence in all addicts. In addition abuse of opioids can occur in the absence of true addiction.

Prométhazine HCl et codéine phosphate Solution orale like other opioids can be diverted for non-medical use into illicit channels of distribution. Careful record-keeping of prescribing information including quantity frequency and renewal requests as required by state and federal law is strongly advised.

Évaluation appropriée du patient Pratiques de prescription appropriées La réévaluation périodique de la thérapie et de la dispensation et du stockage appropriés sont des mesures appropriées qui contribuent à limiter l'abus des médicaments opioïdes.

Risques spécifiques à l'abus de la solution orale de la prométhazine HCL et du phosphate de codéine

Prométhazine HCl et codéine phosphate Solution orale is for oral use only. Abus of Prométhazine HCl et codéine phosphate Solution orale poses a risk of overdose and death. The risk is increased with concurrent use of Prométhazine HCl et codéine phosphate Solution orale with alcohol and other central nervous system depressants [see AVERTISSEMENTS AND PRÉCAUTIONS ].

La toxicomanie parentérale est généralement associée à la transmission de maladies infectieuses telles que l'hépatite et le VIH.

Dépendance

Dépendance psychologique La dépendance physique et la tolérance peuvent se développer sur l'administration répétée d'opioïdes; Par conséquent, la solution orale de la prométhazine HCl et le phosphate de codéine doit être prescrite et administrée pour la durée la plus courte qui est conforme aux objectifs de traitement des patients individuels et les patients doivent être réévalués avant les recharges [voir Posologie et administration AVERTISSEMENTS AND PRÉCAUTIONS ].

Dépendance physique La condition dans laquelle l'administration continue du médicament est nécessaire pour empêcher l'apparition d'un syndrome de sevrage ne suppose que des proportions cliniquement significatives qu'après plusieurs semaines d'utilisation continue des opioïdes orales, bien qu'un degré léger de dépendance physique puisse se développer après quelques jours de traitement opioïde.

Si la solution orale de la prométhazine HCl et la codéine est brusquement interrompue chez un patient physiquement dépendant d'un syndrome de sevrage. Le retrait peut également être précipité par l'administration de médicaments avec une activité antagoniste opioïde (par exemple les analgésiques mixtes agonistes / antagonistes (par exemple, la pentazocine butorphanol nalbuphine) ou les agonistes partiels (par exemple la buprénorphine). Certains ou tous les éléments suivants peuvent caractériser ce syndrome: l'agitation de la rhinorrhée de rhinorrhée de la rhinorrhée frissonne la myalgie et la mydriase. D'autres signes et symptômes peuvent également se développer, notamment l'irritabilité anxiété malafer pouons articulaires faiblesse crampes abdominales insomnie nausées anorexie vomissements de diarrhée ou augmentation de la fréquence respiratoire de la pression artérielle ou de la fréquence cardiaque.

Les nourrissons nés de mères dépendant physiquement des opioïdes seront également physiquement dépendants et pourront présenter des difficultés respiratoires et des signes de sevrage [voir Utiliser dans des populations spécifiques ].

Avertissements pour la codéine phenergan

Inclus dans le cadre du PRÉCAUTIONS section.

Précautions pour la codéine phenergan

Abus et abus de la toxicomanie

Prométhazine HCl et codéine phosphate Solution orale contains codeine a Schedule V controlled substance. As an opioid Prométhazine HCl et codéine phosphate Solution orale exposes users to the risks of addiction abuse and misuse [see Abus de drogues et dépendance ] qui peut entraîner une surdose et la mort [voir Sur-ladosage ]. Réserver la solution orale de la prométhazine HCL et du phosphate de codéine pour une utilisation chez les patients adultes pour lesquels les avantages de la suppression de la toux devraient l'emporter sur les risques et dans qui une évaluation adéquate de l'étiologie de la toux a été faite. Évaluer le risque de chaque patient avant de prescrire la solution orale de phosphate de HCl et de codéine pour prescrire la solution orale de phosphate de HCL et de codéine pour la plus courte durée qui est conforme aux objectifs de traitement des patients individuels sur les patients régulièrement pour le développement de la toxicomanie ou de la maltraitance et de la refonte qu'après la réévaluation du besoin de traitement continu.

Bien que le risque de dépendance chez tout individu soit inconnu, il peut se produire chez les patients prescrits de manière appropriée la solution orale de la prométhazine HCl et de la codéine. La toxicomanie peut survenir à des doses recommandées et si la drogue est mal utilisée ou maltraitée. Les risques sont augmentés chez les patients ayant des antécédents personnels ou familiaux de toxicomanie (y compris l'abus de drogues ou d'alcool ou la dépendance) ou une maladie mentale (par exemple, dépression majeure).

Les opioïdes sont recherchés par des toxicomanes et des personnes souffrant de troubles de la toxicomanie et sont soumis à un détournement criminel. Considérez ces risques lors de la prescription ou de la dispensation de la solution orale de phosphate de HCL et de codéine. Les stratégies pour réduire ces risques comprennent la prescription du médicament dans la plus petite quantité appropriée et conseiller le patient sur l'élimination appropriée du médicament inutilisé [voir Informations de conseil des patients ]. Contact local state professional licensing board or state controlled substances authority for information on how to prevent and detect abuse or diversion of this product.

Dépression respiratoire potentiellement mortelle

Une grave dépression respiratoire mortelle ou mortelle a été signalée avec l'utilisation d'opioïdes, y compris la codéine, l'un des ingrédients actifs de la solution orale de phosphate de HCl et de codéine. La codéine produit une dépression respiratoire liée à la dose en agissant directement sur le centre respiratoire du tronc cérébral qui contrôle le rythme respiratoire et peut produire une respiration irrégulière et périodique. La codéine est soumise à une variabilité du métabolisme basée sur le génotype CYP2D6 qui peut entraîner une exposition accrue à la morphine du métabolite actif [voir AVERTISSEMENTS AND PRÉCAUTIONS ]. Prométhazine exerts a depressant effect on the respiratory center that is independent of and additive to that of other respiratory depressants including codeine [see AVERTISSEMENTS AND PRÉCAUTIONS ]. Respiratoire depression if not immediately recognized and treated may lead to respiratory arrest and death. Management of respiratory depression includes discontinuation of Prométhazine HCl et codéine phosphate Solution orale close observation supportive measures and use of opioid antagonists (e.g. naloxone) depending on the patient’s clinical status [see Sur-ladosage ]. Carbon dioxide (CO2) retention from opioid-induced respiratory depression can exacerbate the sedating effects of opioids.

Bien que une dépression respiratoire mortelle grave ou mortelle puisse se produire à tout moment pendant l'utilisation de la solution orale de phosphate de HCl et de codéine, le risque est le plus élevé lors de l'initiation de la thérapie lors de la prométhazine HCL et du phosphate de codéine. AVERTISSEMENTS AND PRÉCAUTIONS ] chez les patients atteints d'une maladie pulmonaire chronique ou une diminution de la réserve respiratoire et chez les patients atteints de pharmacocinétique altérée ou de clairance altérée (par ex. Patients âgés cachectiques ou affaiblis) [voir AVERTISSEMENTS AND PRÉCAUTIONS ].

Pour réduire le risque de dépression respiratoire, un dosage correct de la solution orale de phosphate de HCl et de codéine est essentiel [voir Posologie et administration AVERTISSEMENTS AND PRÉCAUTIONS ]. Monitor patients closely especially within the first 24-72 hours of initiating therapy or when used in patients at higher risk.

Surdosage of codeine in adults has been associated with fatal respiratory depression and the use of codeine in children younger than 12 years of age has been associated with fatal respiratory depression when used as recommended [see AVERTISSEMENTS AND PRÉCAUTIONS ]. Accidental ingestion of even one dose of Prométhazine HCl et codéine phosphate Solution orale especially by children can result in respiratory depression and death.

Métabolisme ultra-rapide de la codéine et autres facteurs de risque de dépression respiratoire potentiellement mortelle chez les enfants

La dépression respiratoire mortelle et la mort ont eu lieu chez les enfants qui ont reçu de la codéine. La codéine est soumise à une variabilité du métabolisme basée sur le génotype CYP2D6 (décrit ci-dessous), ce qui peut entraîner une exposition accrue à la morphine métabolite active. Sur la base des rapports post-marketing, les enfants de moins de 12 ans semblent être plus sensibles aux effets dépressifs respiratoires de la codéine, en particulier s'il y a des facteurs de risque de dépression respiratoire. Par exemple, de nombreux cas de décès ont eu lieu au cours de la période postopératoire suivant l'amygdalectomie et / ou l'adénoïdectomie et de nombreux enfants avaient des signes de métaboliseurs ultra-rapides de la codéine. En outre, les enfants souffrant d'apnée obstructive du sommeil qui sont traités avec de la codéine pour la douleur post-samectomie et / ou l'adénoïdectomie peuvent être particulièrement sensibles à son effet dépresseur respiratoire. En raison du risque de dépression respiratoire mortelle et de mort:

  • Prométhazine HCl et codéine phosphate Solution orale is contraindicated in all children younger than 12 years of age [see Contre-indications ].
  • Prométhazine HCl et codéine phosphate Solution orale is contraindicated for post-operative management in pediatric patients younger than 18 years of age following tonsillectomy and/or adenoidectomy [see Contre-indications ].
  • Évitez l'utilisation de la solution orale de la prométhazine HCl et de la codéine chez les adolescents de 12 à 18 ans qui ont d'autres facteurs de risque qui peuvent augmenter leur sensibilité aux effets du dépresseur respiratoire de la codéine. Les facteurs de risque comprennent les conditions associées à l'hypoventilation telles que l'apnée obstructive du sommeil obstructif obésité Maladie pulmonaire sévère maladie neuromusculaire et utilisation concomitante d'autres médicaments qui provoquent une dépression respiratoire. [voir AVERTISSEMENTS AND PRÉCAUTIONS Utiliser dans des populations spécifiques ]
  • Les prestataires de soins de santé devraient choisir la dose efficace la plus faible pour la période la plus courte et informer les patients et les soignants sur ces risques et les signes de surdose de morphine [voir AVERTISSEMENTS AND PRÉCAUTIONS Sur-ladosage ].
Lactation

Au moins un décès a été signalé chez un nourrisson infirmier qui a été exposé à des niveaux élevés de morphine dans le lait maternel parce que la mère était un métaboliseur ultra-rapide de la codéine. L'allaitement n'est pas recommandé pendant le traitement avec une solution orale de prométhazine HCl et de codéine [voir Utiliser dans des populations spécifiques ].

CYP2D6 Variabilité génétique: métaboliseurs ultra-rapides

Certains individus peuvent être des métaboliseurs ultra-rapides en raison d'un génotype CYP2D6 spécifique (par exemple, les duplications du gène désignaient * 1 / * 1xn ou * 1 / * 2xn). La prévalence de ce phénotype CYP2D6 varie considérablement et a été estimée à 1 à 10% pour les Blancs (nord-américains européens) 3 à 4% pour les Noirs (Afro-Américains) 1 à 2% pour les Asiatiques de l'Est (Coréen japonais chinois) et peut être supérieur à 10% dans certains groupes ethniques (c'est-à-dire le nord-africain océanique du Moyen-Orient, les juifs de l'Ashkenazi, Porto Rican). Ces individus convertissent la codéine en morphine métabolite active plus rapidement et complètement que les autres. Cette conversion rapide se traduit par des taux sériques de morphine plus élevés que prévu. Même chez les schémas posologiques étiquetés, les individus qui sont des métaboliseurs ultra-rapides peuvent avoir une dépression respiratoire mortelle ou mortelle ou des signes de surdosage (comme une confusion de somnolence extrême ou une respiration peu profonde) [voir Sur-ladosage ]. Therefore individuals who are ultra-rapid metabolizers should not use Prométhazine HCl et codéine phosphate Solution orale.

Prométhazine et dépression respiratoire

Enfants

Les cas de bourse postale de dépression respiratoire, y compris les décès, ont été signalés avec l'utilisation de la prométhazine chez les patients pédiatriques. L'administration concomitante avec d'autres dépresseurs respiratoires peut augmenter le risque de dépression respiratoire. Les enfants peuvent être particulièrement sensibles aux effets du dépresseur respiratoire additif lorsque la prométhazine est combinée avec d'autres dépresseurs respiratoires, y compris la codéine [voir AVERTISSEMENTS AND PRÉCAUTIONS ].

Les doses excessivement importantes d'antihistamines, y compris le chlorhydrate de prométhazine chez les patients pédiatriques, peuvent provoquer une mort subite [voir Sur-ladosage ].

Conditions concomitantes et autres facteurs de risque

Évitez l'utilisation de la prométhazine chez les patients à risque de dépression respiratoire. Les facteurs de risque incluent les conditions associées à l'hypoventilation telles que l'apnée obstructive du sommeil obstructif obésité maladie pulmonaire grave maladie neuromusculaire et utilisation concomitante d'autres médicaments qui provoquent une dépression respiratoire [voir AVERTISSEMENTS AND PRÉCAUTIONS ].

Risques à utiliser dans les populations pédiatriques

Enfants are particularly sensitive to the respiratory depressant effects of codeine [see AVERTISSEMENTS AND PRÉCAUTIONS ] et la prométhazine [voir AVERTISSEMENTS AND PRÉCAUTIONS ]. Because of the risk of life-threatening respiratory depression and death Prométhazine HCl et codéine phosphate Solution orale is contraindicated in children less than 12 years of age and in pediatric patients younger than 18 years of age following tonsillectomy and/or adenoidectomy [see Contre-indications ].

L'utilisation de la solution orale de phosphate de HCL et de codéine chez les enfants les expose également aux risques de maltraitance et d'abus de dépendance [voir Abus de drogues et dépendance ] qui peut entraîner une surdose et la mort [voir AVERTISSEMENTS AND PRÉCAUTIONS Sur-ladosage ]. Because the benefits of symptomatic treatment of cough associated with allergies or the common cold do not outweigh the risks of use of codeine in pediatric patients Prométhazine HCl et codéine phosphate Solution orale is not indicated for use in patients younger than 18 years of age [see Indications Utiliser dans des populations spécifiques ].

Risques à utiliser dans d'autres populations à risque

Toux insensible

La posologie de la solution orale de phosphate de prométhazine HCl et de codéine ne doit pas être augmentée si la toux ne répond pas; Une toux insensible doit être réévaluée dans 5 jours ou plus tôt pour une éventuelle pathologie sous-jacente telle que le corps étranger ou la maladie des voies respiratoires inférieures [voir Posologie et administration ].

Asthme et autres maladies pulmonaires

L'utilisation de la solution orale de la prométhazine HCL et du phosphate de codéine chez les patients atteints d'asthme bronchique aigu ou sévère dans un cadre non surveillé ou en l'absence d'équipement de réanimation est contre-indiqué [voir Contre-indications ].

Les analgésiques opioïdes et les antitussives, y compris la codéine, l'un des ingrédients actifs de la solution orale de la prométhazine HCl et de la codéine ne doit pas être utilisé chez les patients atteints d'une maladie fébrile aiguë associée à une toux productive ou chez des patients atteints d'une maladie respiratoire chronique où l'ingérence avec la capacité de nettoyer l'arbre respiratoire trachéobronchique aurait un effet délétère sur la fonction respiratoire du patient.

Prométhazine HCl et codéine phosphate Solution orale-treated patients with significant chronic obstructive pulmonary disease or cor pulmonale and those with a substantially decreased respiratory reserve hypoxia hypercapnia or pre-existing respiratory depression are at increased risk of decreased respiratory drive including apnea even at recommended dosages of Prométhazine HCl et codéine phosphate Solution orale [see AVERTISSEMENTS AND PRÉCAUTIONS ].

Patients âgés cachectiques ou affaiblis

La dépression respiratoire potentiellement mortelle est plus susceptible de se produire chez les patients âgés cachectiques ou affaiblies car ils peuvent avoir altéré la pharmacocinétique ou une clairance altérée par rapport aux patients plus jeunes en meilleure santé [voir AVERTISSEMENTS AND PRÉCAUTIONS ].

En raison du risque de dépression respiratoire, évitez l'utilisation d'antitussives opioïdes, y compris la solution orale de la prométhazine HCl et de la codéine chez les patients atteints de patients atteints de fonction respiratoire compromis à risque d'insuffisance respiratoire et chez les patients âgés cachectiques ou débilisés. Si la solution orale de la prométhazine HCl et le phosphate de codéine est prescrite, surveillez de telles patients en particulier lors de l'initiation de la solution orale de phosphate de HCl et de codéine de la prométhazine et lors de la prométhazine HCL et du phosphate de codéine, une solution orale est donnée concomitante avec d'autres médicaments qui dépriment la respiration [voir la respiration [voir la respiration [voir AVERTISSEMENTS AND PRÉCAUTIONS ].

Risque de surdose accidentelle et de décès en raison d'erreurs de médicaments

Les erreurs de dosage peuvent entraîner une surdose accidentelle et la mort. Pour réduire le risque de surdose et de dépression respiratoire, assurez-vous que la dose de solution orale de phosphate de HCL et de codéine est communiquée clairement et dispense avec précision [voir Posologie et administration ].

Conseiller aux patients d'utiliser toujours un dispositif de mesure précis de millilitres lors de la mesure et de l'administration de solution orale de prométhazine HCl et de codéine. Informer les patients qu'une cuillère à café de ménage n'est pas un dispositif de mesure précis et qu'une telle utilisation pourrait entraîner un surdosage et des réactions indésirables graves [voir Sur-ladosage ]. For prescriptions where a measuring device is not provided a pharmacist can provide an appropriate calibrated measuring device and can provide instructions for measuring the correct dose.

Activités nécessitant une vigilance mentale: risques de conduite et d'exploitation

Codéine and promethazine two of the active ingredients in Prométhazine HCl et codéine phosphate Solution orale may produce marked somnolence and impair the mental and/or physical abilities required for the performance of potentially hazardous tasks such as driving a car or operating machinery. Advise patients to avoid engaging in hazardous tasks requiring mental alertness and motor coordination after ingestion of Prométhazine HCl et codéine phosphate Solution orale. Avoid concurrent use of Prométhazine HCl et codéine phosphate Solution orale with alcohol or other central nervous system depressants because additional impairment of central nervous system performance may occur [see AVERTISSEMENTS AND PRÉCAUTIONS ].

Risques d'interactions avec les médicaments affectant les isoenzymes du cytochrome P450

Les effets de l'utilisation ou de l'arrêt concomitants des inducteurs du cytochrome P450 3A4 3A4 ou des inhibiteurs 2D6 avec codéine sont complexes. L'utilisation des inducteurs de cytochrome P450 3A4 inducteurs 3A4 ou des inhibiteurs 2D6 avec la solution orale de la prométhazine HCl et du phosphate de codéine nécessite une considération attentive des effets sur la codéine du médicament parent et la morphine du métabolite actif.

Interaction Cytochrome P450 3A4

L'utilisation concomitante de la solution orale de phosphate de HCl et de codéine de la prométhazine avec tous les inhibiteurs du cytochrome P450 3A4 tels que les antibiotiques macrolides (par exemple le kétoconazole) et les inhibiteurs de protéase (par exemple le ritonavir) ou la disontin des cytchromes (par exemple le ritonavir) ou la désarroise des cytchromes (par exemple le ritonavir) ou la disonction des cytchromes (par exemple Ritonavir) ou la désarme L'inducteur tel que la rifampine carbamazépine et la phénytoïne peut entraîner une augmentation des concentrations plasmatiques de codéine avec un métabolisme par la suite plus important par le cytochrome P450 2D6 entraînant des niveaux de morphine plus élevés qui pourraient augmenter ou prolonger les réactions indésirables et peuvent provoquer une dépression respiratoire potentiellement mortelle.

L'utilisation concomitante de la solution orale de phosphate de HCl et de codéine de prométhazine avec tous les inducteurs de cytochrome P450 3A4 ou d'arrêt d'un inhibiteur du cytochrome P450 3A4 peut entraîner des niveaux de norcodéine plus élevés plus élevés et moins de métabolisme via 2D6 avec des niveaux de morphine plus faibles qui en résultent. Cela peut être associé à une diminution de l'efficacité et chez certains patients peut entraîner des signes et symptômes de sevrage des opioïdes.

Évitez l'utilisation de la solution orale de la prométhazine HCL et du phosphate de codéine chez les patients qui prennent un inhibiteur du CYP3A4 ou un inducteur CYP3A4. Si l'utilisation concomitante de la solution orale de phosphate de HCl et de codéine avec des inhibiteurs et des inducteurs du CYP3A4 est nécessaire, surveillez les patients pour les signes et les symptômes qui peuvent refléter la toxicité des opioïdes et le retrait des opioïdes [voir Interactions médicamenteuses ].

Risques d'utilisation ou d'arrêt concomitante des inhibiteurs du cytochrome P450 2D6

L'utilisation concomitante de la solution orale de phosphate de HCl et de codéine avec tous les inhibiteurs du cytochrome P450 2D6 (par exemple, l'amiodarone quinidine) peut entraîner une augmentation des concentrations plasmatiques de codéine et une diminution de la concentration de plasma de morphine métabolite active qui pourrait entraîner une réduction de l'efficacité anale ou des symptômes de l'opoïde.

L'arrêt d'un inhibiteur du cytochrome P450 2D6 utilisé par concomitation peut entraîner une diminution de la concentration plasmatique de codéine et une augmentation de la concentration plasmatique de morphine métabolite active qui pourrait augmenter ou prolonger les effets indésirables et peut provoquer une dépression respiratoire potentiellement mortelle.

Évitez l'utilisation de la solution orale de la prométhazine HCL et du phosphate de codéine chez les patients qui prennent un inhibiteur du CYP2D6. Si l'utilisation concomitante de la solution orale de phosphate de HCl et de codéine avec des inhibiteurs du CYP2D6 est nécessaire pour les patients pour les signes et les symptômes qui peuvent refléter la toxicité des opioïdes et le retrait des opioïdes [voir Interactions médicamenteuses ].

Risques de l'utilisation concomitante avec les benzodiazépines ou autres dépresseurs du SNC

L'utilisation concomitante d'opioïdes, y compris la solution orale de la prométhazine HCl et le phosphate de codéine avec des benzodiazépines ou d'autres dépresseurs du SNC, y compris l'alcool, peut entraîner une dépression respiratoire de sédation profonde Coma et la mort. En raison de ces risques, évitez l'utilisation de médicaments contre la toux opioïde chez les patients prenant des benzodiazépines d'autres dépresseurs du SNC ou de l'alcool [voir Interactions médicamenteuses ].

Des études observationnelles ont démontré que l'utilisation concomitante d'analgésiques opioïdes et de benzodiazépines augmente le risque de mortalité liée au médicament par rapport à l'utilisation d'opioïdes seuls. En raison de propriétés pharmacologiques similaires, il est raisonnable de s'attendre à un risque similaire avec l'utilisation concomitante de médicaments contre la toux opioïde et de benzodiazépines d'autres dépresseurs du SNC ou de l'alcool.

Conseiller les patients et les soignants sur les risques de dépression respiratoire et de sédation si la solution orale de phosphate de HCl et de codéine est utilisée avec des benzodiazépines alcool ou d'autres dépresseurs du SNC [voir Informations de conseil des patients ].

Risques d'utilisation chez les patients souffrant de conditions gastro-intestinales

Prométhazine HCl et codéine phosphate Solution orale is contraindicated in patients with known or suspected gastrointestinal obstruction including paralytic ileus [see Contre-indications ]. The use of codeine in Prométhazine HCl et codéine phosphate Solution orale may obscure the diagnosis or clinical course of patients with acute abdominal conditions.

L'utilisation concomitante des anticholinergiques avec une solution orale de phosphate de HCl et de codéine peut

produire iléus paralytique [voir Interactions médicamenteuses ]. The codeine in Prométhazine HCl et codéine phosphate Solution orale may result in constipation or obstructive bowel disease especially in patients with underlying intestinal motility disorders. Utiliser with caution in patients with underlying intestinal motility disorders.

La codéine dans la solution orale de la codéine HCl et de la codéine peut provoquer un spasme du sphincter d'Oddi entraînant une augmentation de la pression des voies biliaires. Les opioïdes peuvent provoquer une augmentation de l'amylase sérique [voir AVERTISSEMENTS AND PRÉCAUTIONS ]. Monitor patients with biliary tract disease including acute pancreatitis for worsening symptoms.

L'administration de prométhazine a été associée à jaunisse .

Les risques d'utilisation chez les patients atteints de conscience altérée par la tête ont augmenté la pression intracrânienne ou les tumeurs cérébrales

Évitez l'utilisation de la solution orale de la prométhazine HCL et du phosphate de codéine chez les patients présentant des lésions intracrâniennes de la crête ou une augmentation préexistante de la pression intracrânienne. Chez les patients qui peuvent être sensibles aux effets intracrâniens de la rétention de CO2 (par exemple ceux qui ont des preuves d'une augmentation de la pression intracrânienne ou des tumeurs cérébrales) prométhazine HCl et une solution orale de phosphate de codéine peuvent réduire la conduite respiratoire et la rétention de CO2 qui en résulte peut augmenter davantage la pression intracrânienne. De plus, les opioïdes produisent des effets indésirables qui peuvent obscurcir l'évolution clinique des patients souffrant de traumatismes crâniens.

Risque de syndrome malin neuroleptique

Un complexe de symptômes potentiellement mortel parfois appelé syndrome malin neuroleptique (NMS) a été signalé en association avec la prométhazine HCl seul ou en combinaison avec des antipsychotiques. Les manifestations cliniques des SNM sont la rigidité musculaire de l'hyperpyrexie altérée l'état mental et les preuves d'une instabilité autonome (impulsion irrégulière ou pression artérielle de la tachycardie diaphorèse et des dysrhythmies cardiaques).

L'évaluation diagnostique des patients atteints de ce syndrome est compliquée. En arrivant à un diagnostic, il est important d'identifier les cas où la présentation clinique comprend à la fois une maladie médicale grave (par exemple, une infection systémique de la pneumonie, etc.) et des signes et symptômes extrapyramidaux non traités ou mal traités. D'autres considérations importantes dans le diagnostic différentiel comprennent la toxicité centrale de la toxicité anticholique et la pathologie du système nerveux central primaire (SNC).

La prise en charge de la SNM doit inclure 1) l'arrêt immédiat des médicaments antipsychotiques HCL prométhazine, le cas échéant, non essentiel à la thérapie concomitante 2) un traitement symptomatique intensif et une surveillance médicale et 3) le traitement de tout problème médical grave concomitant pour lequel des traitements spécifiques sont disponibles. Il n'y a aucun accord général sur des schémas de traitement pharmacologique spécifiques pour les NM non compliqués.

Étant donné que les récidives de SNM ont été signalées avec des phénothiazines, évitez l'utilisation de la solution orale de la prométhazine HCl et de la codéine chez les patients ayant des antécédents conformes à la NMS.

Risque de réactions paradoxales, y compris les dystonies

Prométhazine HCl et codéine phosphate Solution orale contains promethazine a phenothiazine. Phenothiazines are associated with dystonic reactions particularly in pediatric patients who avoir an acute illness associated with dehydration. Paradoxical reactions including dystonia torticollis tongue protrusion hyperexcitability and abnormal movements avoir been reported in patients following a single administration of promethazine. Discontinue Prométhazine HCl et codéine phosphate Solution orale if a paradoxical reaction occurs.

Risque accru de crises chez les patients souffrant de troubles de crise

La codéine et la prométhazine dans la solution orale de la prométhazine HCl et de la codéine peuvent augmenter la fréquence des crises chez les patients souffrant de troubles de crise et peuvent augmenter le risque de crises survenant dans d'autres contextes cliniques associés aux crises. Surveillez les patients ayant des antécédents de troubles de crise pour un contrôle des crises aggravé pendant la thérapie par la solution orale de la prométhazine HCl et de la codéine.

Co-administration avec des inhibiteurs de la monoamine oxydase (MAOI)

L'utilisation concomitante de la solution orale de phosphate de HCl et de codéine est contre-indiqué chez les patients recevant des inhibiteurs de monoamine oxydase (MAOI) ou dans les 14 jours suivant l'arrêt d'une telle thérapie [voir Contre-indications ]. MAOIs may potentiate the effects of morphine codeine’s active metabolite including respiratory depression coma and confusion MAOIs [see Interactions médicamenteuses ].

Dépression de la moelle osseuse

Prométhazine HCl et codéine phosphate Solution orale should be used with caution in patients with bone-marrow depression. Leukopenia and agranulocytosis avoir been reported usually when promethazine has been used in association with other known marrow-toxic agents.

Hypotension sévère

Prométhazine HCl et codéine phosphate Solution orale may cause severe hypotension including orthostatic hypotension and syncope in ambulatory patients. There is increased risk in patients whose ability to maintain blood pressure has already been compromised by a reduced blood volume or concurrent administration of certain CNS depressant drugs (e.g. phenothiazines or general anesthetics) [see Interactions médicamenteuses ]. Monitor these patients for signs of hypotension after initiating Prométhazine HCl et codéine phosphate Solution orale.

Chez les patients atteints de choc circulatoire, la prométhazine HCl et la solution orale de phosphate de codéine peuvent provoquer une vasodilatation qui peut réduire davantage le débit cardiaque et la pression artérielle. Évitez l'utilisation de la solution orale de la prométhazine HCL et du phosphate de codéine chez les patients avec un choc circulatoire.

Syndrome de sevrage opioïde néonatal

Prométhazine HCl et codéine phosphate Solution orale is not recommended for use in pregnant women. Prolonged use of Prométhazine HCl et codéine phosphate Solution orale during pregnancy can result in withdrawal in the neonate. Neonatal opioid withdrawal syndrome unlike opioid withdrawal syndrome in adults may be life-threatening if not recognized and treated and requires management according to protocols developed by neonatology experts. Observe newborns for signs of neonatal opioid withdrawal syndrome and manage accordingly. Advise pregnant women using opioids for a prolonged period of the risk of neonatal opioid withdrawal syndrome and ensure that appropriate treatment will be available. [see Utiliser dans des populations spécifiques Informations de conseil des patients ]

Insuffisance surrénale

Des cas d'insuffisance surrénale ont été signalés avec une consommation d'opioïdes plus souvent après un mois d'utilisation. La présentation d'une insuffisance surrénalienne peut inclure des symptômes et des signes non spécifiques, notamment des nausées vomissements anorexie la faiblesse des étourdissements et des étourdissements et pression artérielle basse . Si une insuffisance surrénale est suspectée, confirmez le diagnostic avec des tests de diagnostic dès que possible. Si l'insuffisance surrénale est diagnostiquée, traitez avec des doses de remplacement physiologiques de corticostéroïdes. Sevrer le patient de l'opioïde pour permettre à la fonction surrénalienne de récupérer et de continuer le traitement aux corticostéroïdes jusqu'à ce que la fonction surrénalienne se rétablisse. D'autres opioïdes peuvent être essayés car certains cas ont rapporté l'utilisation d'un opioïde différent sans récidive d'insuffisance surrénalienne. Les informations disponibles n'identifient pas d'opioïdes particuliers comme étant plus susceptibles d'être associés à une insuffisance surrénalienne.

Interactions de test de médicament / de laboratoire

Étant donné que les agonistes opioïdes peuvent augmenter la pression du tractus biliaire avec une augmentation qui en résulte des niveaux plasmatiques d'amylase ou de lipase, la détermination de ces niveaux enzymatiques peut être peu fiable pendant 24 heures après l'administration d'une dose de solution orale de prométhazine HCl et de codéine.

Les tests de laboratoire suivants peuvent être affectés chez les patients qui reçoivent de la prométhazine:

Tests de grossesse

Les tests de grossesse diagnostique basés sur des réactions immunologiques entre HCG et anti-HCG peuvent entraîner des interprétations faussement négatives ou faussement positives.

Test de tolérance au glucose

Une augmentation de la glycémie a été signalée chez les patients recevant de la prométhazine.

Informations de conseil des patients

Conseiller au patient de lire l'étiquetage des patients approuvé par la FDA ( Guide des médicaments ).

Abus et abus de la toxicomanie

Informez les patients que l'utilisation de la solution orale de phosphate de prométhazine HCl et de codéine même lorsqu'elle est prise comme recommandée peut entraîner des abus de dépendance et une mauvaise consommation qui peuvent entraîner une surdose et la mort [voir AVERTISSEMENTS AND PRÉCAUTIONS ]. Instruct patients not to share Prométhazine HCl et codéine phosphate Solution orale with others and to take steps to protect Prométhazine HCl et codéine phosphate Solution orale from theft or misuse.

Instructions d'administration et d'administration importantes

Instruisez les patients comment mesurer et prendre la bonne dose de solution orale de phosphate de HCl et de codéine. Conseiller aux patients de mesurer la solution orale de phosphate de HCl et de codéine avec un dispositif de mesure précis de millilitres. Les patients doivent être informés qu'une cuillère à café de ménage n'est pas un dispositif de mesure précis et pourrait entraîner un surdosage. Conseiller aux patients de demander à leur pharmacien de recommander un dispositif de mesure approprié et pour des instructions pour mesurer la dose correcte [voir Posologie et administration AVERTISSEMENTS AND PRÉCAUTIONS ]. Conseiller aux patients de ne pas augmenter la dose ou la fréquence de dosage de la solution orale de la prométhazine HCl et du phosphate de codéine car des événements indésirables graves tels que la dépression respiratoire peuvent survenir avec un surdosage [voir AVERTISSEMENTS AND PRÉCAUTIONS Sur-ladosage ].

Dépression respiratoire potentiellement mortelle

Informer les patients du risque de dépression respiratoire potentiellement mortelle, y compris des informations selon lesquelles le risque est le plus élevé lors du démarrage de la solution orale de la prométhazine HCl et de la codéine et qu'elle peut se produire même aux doses recommandées [voir AVERTISSEMENTS AND PRÉCAUTIONS ]. Advise patients how to recognize respiratory depression and to seek medical attention if breathing difficulties develop.

Ingestion accidentelle

Informer les patients que l'ingestion accidentelle, en particulier par les enfants, peut entraîner une dépression respiratoire ou une mort [voir AVERTISSEMENTS AND PRÉCAUTIONS ]. Instruct patients to take steps to store Prométhazine HCl et codéine phosphate Solution orale securely and to properly dispose of unused Prométhazine HCl et codéine phosphate Solution orale in accordance with the local state guidelines and/or regulations.

Métabolisme ultra-rapide de la codéine et autres facteurs de risque de dépression respiratoire potentiellement mortelle chez les enfants

Conseiller les soignants que la solution orale de phosphate de HCl et de codéine de la prométhazine n'est pas indiquée pour les patients pédiatriques de moins de 18 ans et est contre-indiqué chez tous les enfants de moins de 12 ans et chez les enfants de moins de 18 ans après une amygdale et / ou une adénoïdectomie.

Activités nécessitant une vigilance mentale

Conseiller aux patients d'éviter de s'engager dans des tâches dangereuses qui nécessitent une vigilance mentale et une coordination motrice telles que les machines d'exploitation ou la conduite d'un véhicule à moteur sous forme de solution orale de phosphate de HCl et de codéine peuvent produire une somnolence marquée [voir AVERTISSEMENTS AND PRÉCAUTIONS ].

Interactions avec les benzodiazépines et autres dépresseurs du système nerveux central, y compris l'alcool

Informer les patients et les soignants que des effets additifs potentiellement mortels peuvent se produire si la solution orale de la prométhazine HCL et de la codéine est utilisée avec des benzodiazépines ou d'autres dépresseurs du SNC, y compris l'alcool. Conseiller aux patients d'éviter l'utilisation concomitante de la solution orale de phosphate de HCl et de codéine avec des benzodiazépines ou d'autres dépresseurs du SNC et de ne pas consommer de l'alcool tout en prenant la solution orale de la prométhazine HCl et de la codéine [voir [voir AVERTISSEMENTS AND PRÉCAUTIONS Interactions médicamenteuses ].

Constipation

Conseiller les patients du potentiel de constipation sévère [voir AVERTISSEMENTS AND PRÉCAUTIONS Effets indésirables ].

Anaphylaxie

Informer les patients que l'anaphylaxie a été signalée avec des ingrédients contenus dans la solution orale de la prométhazine HCl et de la codéine. Conseiller aux patients comment reconnaître une telle réaction et quand consulter un médecin [voir Contre-indications Effets indésirables ].

Interaction maoi

Informez les patients de ne pas prendre la solution orale de la prométhazine HCl et de la codéine lors de l'utilisation ou dans les 14 jours suivant l'arrêt des médicaments qui inhibent la monoamine oxydase. Les patients ne doivent pas démarrer les MAOI lors de la prise de solution orale de prométhazine HCl et de codéine [voir AVERTISSEMENTS AND PRÉCAUTIONS Interactions médicamenteuses ].

Hypotension

Informez les patients que la solution orale de la prométhazine HCl et de la codéine peut provoquer une hypotension et une syncope orthostatiques. Instruisez les patients sur la façon de reconnaître les symptômes de la pression artérielle basse et comment réduire le risque de conséquences graves si une hypotension se produit (par exemple, s'asseoir ou se coucher soigneusement s'élever d'une position assise ou mensonge) [voir AVERTISSEMENTS AND PRÉCAUTIONS ].

Grossesse

Informer les patients que l'utilisation de la solution orale de phosphate de prométhazine HCl et de codéine n'est pas recommandée pendant la grossesse [voir Utiliser dans des populations spécifiques ].

Syndrome de sevrage opioïde néonatal

Informer les patientes de potentiel reproducteur que l'utilisation de la solution orale de phosphate de HCl et de codéine pendant la grossesse peut entraîner un syndrome de sevrage opioïde néonatal qui peut être mortel s'il n'est pas reconnu et traité [voir AVERTISSEMENTS AND PRÉCAUTIONS Utiliser Dans des populations spécifiques ].

Toxicité embryo-fœtale

Informer les patientes de potentiel reproducteur selon lesquelles la solution orale de la prométhazine HCl et le phosphate de codéine peut causer des dommages fœtaux et informer leur fournisseur de soins de santé d'une grossesse connue ou suspectée [voir Utiliser dans des populations spécifiques ].

Lactation

Conseillez les femmes que l'allaitement n'est pas recommandé pendant le traitement par la prométhazine HCL et la solution orale de phosphate de codéine [voir Utiliser dans des populations spécifiques ].

Infertilité

Informer les patients que l'utilisation chronique d'opioïdes telles que la codéine A composante de la prométhazine HCl et la solution orale de phosphate de codéine peut provoquer une fertilité réduite. On ne sait pas si ces effets sur la fertilité sont réversibles [voir Utiliser dans des populations spécifiques ].

Insuffisance surrénale

Informer les patients que la solution orale de la prométhazine HCl et de la codéine pourrait provoquer une insuffisance surrénalienne une condition potentiellement mortelle. L'insuffisance surrénalienne peut présenter des symptômes non spécifiques et des signes tels que les étourdissements des nausées vomissements de la fatigue de l'anorexie et de la pression artérielle basse. Conseiller aux patients de consulter des médecins s'ils éprouvent une constellation de ces symptômes [voir AVERTISSEMENTS AND PRÉCAUTIONS ].

Syndrome de Seroton

Informez les patients que la solution orale de la prométhazine HCl et de la codéine pourrait provoquer une condition rare mais potentiellement potentiellement mortelle résultant de l'administration concomitante de médicaments sérotoninergiques. Avertissez les patients des symptômes du syndrome de la sérotonine et de consulter immédiatement un médecin si les symptômes se développent. Demandez aux patients d'informer leurs médecins s'ils prennent ou prévoient de prendre des médicaments sérotoninergiques. [voir Effets indésirables Interactions médicamenteuses ].

Élimination de la solution orale de la prométhazine HCL et du phosphate de codéine inutilisée

Conseiller aux patients de disposer correctement de la solution orale de prométhazine HCl et de codéine inutilisée. Conseiller aux patients de jeter le médicament dans les déchets domestiques après ces étapes. 1) Retirez-les de leurs conteneurs d'origine et mélangez-les avec une substance indésirable telle que le terrain de café utilisé ou la litière pour chat (cela rend le médicament moins attrayant pour les enfants et les animaux de compagnie et méconnaissable pour les personnes qui peuvent passer intentionnellement les médicaments à la recherche de déchets). 2) Placer le mélange dans un sac scelable vide ou un autre récipient pour empêcher le médicament de fuir ou de sortir d'un sac à ordures ou de se débarrasser des directives et / ou de réglementations de l'État local.

Toxicologie non clinique

Carcinogenèse Mutagenèse A trouble de la fertilité

Les études de mutagénicité et de fertilité de la cancérogénicité n'ont pas été menées avec une solution orale de phosphate de HCL et de codéine; Cependant, des informations publiées sont disponibles pour les ingrédients actifs individuels.

Codéine

Des études de cancérogénicité ont été menées avec la codéine. Des études de deux ans chez des rats F344 / N et des souris B6C3F1 ont été menées pour évaluer le potentiel cancérigène de la codéine. Aucune preuve de tumorigénicité n'a été observée chez les rats mâles et femelles à des doses alimentaires de codéine allant jusqu'à 70 et 80 mg / kg / jour (approximativement équivalent à 15 et 20 fois le MRHD sur une base mg / m² respectivement). Aucune preuve de tumorigénicité n'a été observée chez les souris mâles et femelles à des doses alimentaires de codéine jusqu'à 400 mg / kg / jour (environ équivalent à 45 fois le MRHD sur une base Mg / m²).

Codéine was not mutagenic in the in vitro bacterial reverse mutation assay or clastogenic in the in vitro Chinese hamster ovary (CHO) cell chromosomal aberration assay.

Les études de fertilité avec la codéine n'ont pas été menées.

Prométhazine

Des études de cancérogénicité ont été menées avec du chlorhydrate de prométhazine. Des études de deux ans chez des rats F344 / N et des souris B6C3F1 ont été menées pour évaluer le potentiel cancérigène de la chlorhydrate de prométhazine. Aucune preuve de tumorigénicité n'a été observée chez des rats mâles et femelles à des doses orales de chlorhydrate de prométhazine jusqu'à 33 mg / kg / jour pendant 5 jours / semaine (environ équivalent à 10 fois le MRHD sur une base de mg / m²). Aucune preuve de tumorigénicité n'a été observée chez des souris mâles et femelles à des doses orales de la prométhazine jusqu'à 45 et 15 mg / kg / jour pendant 5 jours / semaine (environ équivalent à 7 et 2 fois le MRHD sur une base mg / m² respectivement).

Prométhazine hydrochloride was not mutagenic in the in vitro bacterial reverse mutation assay or clastogenic in the in vitro Chinese hamster ovary (CHO) cell chromosomal aberration assay. Fertility studies with promethazine avoir not been conducted.

Utiliser dans des populations spécifiques

Grossesse

Résumé des risques

Prométhazine HCl et codéine phosphate Solution orale is not recommended for use in pregnant women including during or immediately prior to labor. Prolonged use of opioids during pregnancy may cause neonatal opioid withdrawal syndrome [see AVERTISSEMENTS AND PRÉCAUTIONS Considérations cliniques ].

Il n'y a pas de données disponibles avec la solution orale de la prométhazine HCl et de la codéine chez la solution orale chez les femmes enceintes pour éclairer un risque associé au médicament de résultats de développement défavorables. Des études publiées avec la codéine ont rapporté des résultats incohérents et ont des limitations méthodologiques importantes (voir Données ). There are reports of respiratory depression when codeine is used during labor and delivery (see Considérations cliniques ).

Reproducteur toxicity studies avoir not been conducted with Prométhazine HCl et codéine phosphate Solution orale; however studies are available with individual active ingredients (see Données ).

Dans les études de reproduction animale, la codéine administrée par la route orale vers des rats enceintes pendant la période d'organogenèse a augmenté la résorption et diminué les poids fœtaux à une dose environ 25 fois la dose humaine maximale recommandée (MRHD) en présence de toxicité maternelle (voir Données ).

Pour les souris enceintes et les rats qui ont reçu de la prométhazine à des doses de 0,2 et 3 à 6 fois le MRHD pendant diverses périodes de gestation, il y a eu des résultats de résorption fœtale accrue et de fragilité squelettique ont diminué le poids des chiots et les retards de développement des chiots (voir (voir Données ).

Sur la base des données animales, conseille aux femmes enceintes du risque potentiel pour un fœtus.

Le risque de fond estimé de malformations congénitales majeures et de fausse couche pour la population indiquée est inconnue. Toutes les grossesses présentent un risque de fond de perte de maltraitance natale ou d'autres résultats indésirables. Dans la population générale américaine, le risque de fond estimé de malformations congénitales majeures et de fausse couche dans les grossesses cliniquement reconnues est respectivement de 2 à 4% et 15 à 20%.

Considérations cliniques

Réactions indésirables fœtales / néonatales

L'utilisation prolongée d'analgésiques opioïdes pendant la grossesse à des fins médicales ou non médicales peut entraîner une dépendance physique dans le syndrome de retrait des nouveau-nés et des opioïdes néonatal peu de temps après la naissance. Le syndrome de sevrage des opioïdes néonatal se présente sous forme d'hyperactivité d'irritabilité et de schémas de sommeil anormal de vomissements de tremblement de tremblements de cry à haut niveau et de ne pas prendre de poids. La durée et la gravité du syndrome de retrait des opioïdes néonatals varient en fonction de la durée de synchronisation utilisée par l'opioïde spécifique et la quantité de dernière utilisation maternelle et le taux d'élimination du médicament par le nouveau-né. Observer les nouveau-nés pour les symptômes du syndrome de sevrage des opioïdes néonatals et gérer en conséquence [voir AVERTISSEMENTS AND PRÉCAUTIONS ].

Travail ou livraison

Les opioïdes traversent le placenta et peuvent produire des effets respiratoires et des effets psychysiologiques chez les nouveau-nés. Un antagoniste opioïde comme la naloxone doit être disponible pour l'inversion de la dépression respiratoire induite par les opioïdes chez le nouveau-né. Les opioïdes, y compris la solution orale de la prométhazine HCl et le phosphate de codéine, peuvent prolonger le travail par des actions qui réduisent temporairement la durée de la résistance et la fréquence des contractions utérines. Cependant, cet effet n'est pas cohérent et peut être compensé par un taux accru de dilatation cervicale qui tend à raccourcir la main-d'œuvre. Surveiller les nouveau-nés exposés aux opioïdes pendant le travail pour des signes de sédation excessive et de dépression respiratoire.

Données

Données humaines

Les données publiées des études cas-témoins et d'observation sur l'utilisation de la codéine pendant la grossesse sont incohérentes dans leurs résultats. Certaines études sur l'exposition à la codéine ont montré un risque accru de malformations congénitales globales, tandis que d'autres ne l'ont pas fait. Un risque accru de malformations spécifiques avec une exposition à la codéine tels que des malformations respiratoires spina bifida et des malformations cardiaques congénitales a été rapportée dans certaines études.

La majorité des études examinant l'utilisation de la prométhazine pendant la grossesse n'ont pas trouvé d'association avec un risque accru d'anomalies congénitales. Dans les quelques études signalant une association, aucun schéma cohérent de malformations n'a été noté.

La plupart des études positives et négatives ont été limitées par un petit biais de rappel de la taille de l'échantillon et le manque d'informations concernant la dose et le moment de l'exposition.

Données sur les animaux

Reproducteur toxicity studies avoir not been conducted with Prométhazine HCl et codéine phosphate Solution orale; however studies are available with individual active ingredients.

Codéine

Dans une étude de développement embryofétal chez des rats enceintes dosés tout au long de la période d'organogenèse, la codéine a augmenté la résorption et une diminution des poids fœtaux à une dose environ 25 fois le MRHD (sur une base de mg / m² avec une dose orale maternelle de 120 mg / kg / jour); Cependant, ces effets se sont produits en présence d'une toxicité maternelle. Dans les études de développement embryofétal avec des lapins enceintes et des souris dosés tout au long de la période d'organogenèse, la codéine n'a produit aucun effet de développement défavorable à des doses d'environ 15 et 65 fois respectivement le MRHD (sur une base mg / m² avec des doses orales maternelles de 30 mg / kg / jour chez le lapin et 600 mg / kg / jour chez la souris).

Prométhazine

Chez les souris enceintes dosées pendant la période d'implantation des jours de gestation 1 à 5, la prométhazine a augmenté la résorption à des doses d'environ 0,2 fois le MRHD (sur une base de mg / m² avec des doses intrapéritonéales maternelles et sous-cutanées jusqu'à 1 mg / kg / jour).

Chez les rats enceintes dosés pendant la période d'organogenèse des jours de gestation 5 à 16, le chlorhydrate de prométhazine a induit une résorption complète à des doses d'environ 6 fois le MRHD (sur une base de mg / m² avec des doses orales maternelles jusqu'à 20 mg / kg / jour).

Chez les rats enceintes dosés pendant la période d'organogenèse des jours de gestation 7 à 13, la prométhazine a entraîné une fragilité squelettique des chiots à des doses environ 3 fois le MRHD (sur une base de mg / m² avec des doses orales maternelles jusqu'à 10 mg / kg / jour).

Chez les rats enceintes dosés pendant la période d'organogenèse des jours de gestation 10 à 12, la prométhazine a entraîné une diminution du poids et des retards lors de l'occurrence initiale d'un comportement / réflexe des chiots à des doses d'environ 3 fois le MRHD (sur une base de mg / m² avec des doses orales maternelles jusqu'à 10 mg / kg / jour).

La pertinence de ces résultats pour l'homme n'est pas claire.

Lactation

Résumé des risques

En raison du potentiel de réactions indésirables graves, notamment une dépression respiratoire excessive de sédation et la mort chez un nourrisson allaité conseille aux patients que l'allaitement n'est pas recommandé pendant le traitement avec une solution orale de phosphate de HCl et de codéine [voir [voir [voir AVERTISSEMENTS AND PRÉCAUTIONS ].

Il n'y a pas de données sur la présence de solution orale de phosphate de HCl et de codéine dans le lait maternel des effets de la prométhazine HCl et de la solution orale de phosphate de codéine sur le nourrisson allaité ou les effets de la solution orale de la prométhazine HCL et du phosphate de codéine sur la production de lait; Cependant, les données sont disponibles avec la codéine et la prométhazine.

Codéine

Codéine and its active metabolite morphine are present in human milk. There are published studies and cases that avoir reported excessive sedation respiratory depression and death (in one infant) in infants exposed to codeine via breast milk. Women who are ultra-rapid metabolizers of codeine achieve higher than expected serum levels of morphine potentially leading to higher levels of morphine in breast milk that can be dangerous in their breastfed infants. In women with normal codeine metabolism (normal CYP2D6 activity) the amount of codeine secreted into human milk is low and dose-dependent. There is no information on the effects of the codeine on milk production.

Prométhazine

Il n'y a pas de données sur la présence de prométhazine dans le lait maternel. Cependant, l'administration orale directe de la prométhazine a été associée à la dépression respiratoire, y compris les décès chez les patients pédiatriques [voir AVERTISSEMENTS AND PRÉCAUTIONS ]. Prométhazine has been shown to decrease basal prolactin levels in non-nursing women and therefore may affect milk production.

Considérations cliniques

Les nourrissons exposés à la solution orale de la prométhazine HCL et du phosphate de codéine par le lait maternel doivent être surveillés pour une sédation excessive et une dépression respiratoire. Des symptômes de sevrage peuvent survenir chez les nourrissons allaités lorsque l'administration maternelle d'un opioïde est arrêtée ou lors de l'arrêt de l'allaitement.

Femmes et mâles de potentiel reproducteur

Infertilité

L'utilisation chronique d'opioïdes tels que la codéine A composante de la solution orale de la prométhazine HCl et de la codéine peut provoquer une fertilité réduite chez les femmes et les hommes de potentiel reproducteur. On ne sait pas si ces effets sur la fertilité sont réversibles [voir Effets indésirables Pharmacologie clinique ].

Usage pédiatrique

Prométhazine HCl et codéine phosphate Solution orale is not indicated for use in patients younger than 18 years of age because the benefits of symptomatic treatment of cough associated with allergies or the common cold do not outweigh the risks for use of codeine in these patients [see Indications AVERTISSEMENTS AND PRÉCAUTIONS ]. Life-threatening respiratory depression and death avoir occurred in children who received codeine [see AVERTISSEMENTS AND PRÉCAUTIONS ]. In most of the reported cases these events followed tonsillectomy and/or adenoidectomy and many of the children had evidence of being ultra-rapid metabolizers of codeine (i.e. multiple copies of the gene for cytochrome P450 isoenzyme 2D6 or high morphine concentrations). Enfants with sleep apnea may be particularly sensitive to the respiratory depressant effects of codeine.

La dépression respiratoire mortelle et la mort se sont également produites chez les enfants qui ont reçu la prométhazine [voir AVERTISSEMENTS AND PRÉCAUTIONS ]. Because of the risk of life-threatening respiratory depression and death:

  • Prométhazine HCl et codéine phosphate Solution orale is contraindicated for all children younger than 12 years of age [see Contre-indications ].
  • Prométhazine HCl et codéine phosphate Solution orale is contraindicated for post-operative management in pediatric patients younger than 18 years of age following tonsillectomy and/or adenoidectomy [see Contre-indications ].
  • Évitez l'utilisation de la solution orale de la prométhazine HCL et du phosphate de codéine chez les adolescents de 12 à 18 ans qui ont d'autres facteurs de risque qui peuvent augmenter leur sensibilité aux effets du dépresseur respiratoire de la codéine à moins que les avantages ne l'emportent sur les risques. Les facteurs de risque incluent les conditions associées à l'hypoventilation telles que l'apnée obstructive du sommeil obstructif obésité maladie pulmonaire grave maladie neuromusculaire et utilisation concomitante d'autres médicaments qui provoquent une dépression respiratoire [voir AVERTISSEMENTS AND PRÉCAUTIONS ].

Utilisation gériatrique

Les études cliniques n'ont pas été menées avec la solution orale de la prométhazine HCL et du phosphate de codéine dans les populations gériatriques.

Utiliser caution when considering the use of Prométhazine HCl et codéine phosphate Solution orale in patients 65 years of age or older. Elderly patients may avoir increased sensitivity to codeine; greater frequency of decreased hepatic renal or cardiac function; or concomitant disease or other drug therapy [see AVERTISSEMENTS AND PRÉCAUTIONS ].

Respiratoire depression is the chief risk for elderly patients treated with opioids including Prométhazine HCl et codéine phosphate Solution orale. Respiratoire depression has occurred after large initial doses of opioids were administered to patients who were not opioid-tolerant or when opioids were co-administered with other agents that depress respiration [see AVERTISSEMENTS AND PRÉCAUTIONS ].

Codéine is known to be substantially excreted by the kidney and the risk of adverse reactions to this drug may be greater in patients with impaired renal function. Because elderly patients are more likely to avoir decreased renal function monitor these patients closely for respiratory depression sedation and hypotension.

Trouble rénal

La pharmacocinétique de la solution orale de la prométhazine HCl et du phosphate de codéine n'a pas été caractérisée chez les patients souffrant de troubles rénaux. La pharmacocinétique de codéine peut être modifiée chez les patients souffrant d'insuffisance rénale. La dégagement peut être diminué et les métabolites peuvent s'accumuler à des taux plasmatiques beaucoup plus élevés chez les patients atteints d'insuffisance rénale par rapport aux patients ayant une fonction rénale normale. La solution orale de la prométhazine HCL et du phosphate de codéine doit être utilisée avec prudence chez les patients ayant une déficience grave de la fonction rénale et les patients doivent être surveillés de près pour la sédation et l'hypotension de la dépression respiratoire.

Trouble hépatique

Aucune étude formelle n'a été menée chez des patients souffrant de troubles hépatiques, de sorte que la pharmacocinétique de la solution orale de phosphate de HCl et de codéine dans cette population de Prométhazine dans cette population de patients est inconnue. La solution orale de la prométhazine HCL et du phosphate de codéine doit être utilisée avec prudence chez les patients atteints de déficience de la fonction hépatique et les patients doivent être surveillés de près pour la sédation et l'hypotension de la dépression respiratoire.

Surdosage Information for Phenergan-Codéine

Présentation clinique

Codéine

Une surdose aiguë avec de la codéine est caractérisée par une dépression respiratoire (une diminution de la cyanose respiratoire et / ou du volume de marée de la trée hypoglycémie Circulatoire effondrer un arrêt cardiaque et la mort.

Codéine may cause miosis even in total darkness. Pinpoint pupils are a sign of opioid overdose but are not pathognomonic (e.g. pontine lesions of hemorrhagic or ischemic origin may produce similar findings). Marked mydriasis rather than miosis may be seen with hypoxia in overdose situations [see Pharmacologie clinique ].

Prométhazine

Les signes et symptômes de surdosage avec la prométhazine vont d'une légère dépression du système nerveux central et du système cardiovasculaire à une profonde dépression respiratoire de l'hypotension et à la mort subite. Les autres réactions rapportées comprennent l'hyperréflexie de l'hypertonie ataxie athétose et les réflexes extenseurs-planar (réflexe Babinski).

La stimulation peut être évidente en particulier chez les enfants et les patients gériatriques. Des convulsions peuvent rarement se produire. Une réaction paradoxale a été rapportée chez les enfants recevant des doses uniques de 75 mg à 125 mg caractérisées par voie orale par une hyperexcitabilité et des cauchemars.

Signes et symptômes de type atropine (pupilles dilatées à bouche sèche Fushing Tachycardie Hallucinations

Symptômes gastro-intestinaux Convulsions Rétention urinaire Arythmies cardiaques et coma) peuvent être observées. La sécrétion altérée des glandes sueur suite aux doses toxiques de médicaments avec des effets secondaires anticholinergiques peut prédisposer à l'hyperthermie.

Traitement de la surdose

Le traitement du surdosage est tiré par la présentation clinique globale et consiste à l'arrêt de la solution orale de la prométhazine HCl et du phosphate de codéine ainsi que de l'institution de thérapie appropriée. Accordez une attention primordiale au rétablissement d'un échange respiratoire adéquat par la fourniture d'une voie aérienne brevetée et protégée et à l'institution d'une ventilation assistée ou contrôlée. Utilisez d'autres mesures de soutien (y compris l'oxygène et les vasopresseurs) dans la gestion du choc circulatoire et de l'œdème pulmonaire comme indiqué. L'arrêt cardiaque ou les arythmies nécessiteront des techniques avancées de survie. La vidange gastrique peut être utile pour éliminer le médicament non absorbé.

Les antagonistes opioïdes Naloxone et Nalmefène sont des antidotes spécifiques pour la dépression respiratoire résultant d'une surdose d'opioïdes. Pour une dépression respiratoire ou circulatoire cliniquement significative secondaire à la surdose de codéine administrer un antagoniste opioïde. Un antagoniste ne doit pas être administré en l'absence de dépression respiratoire cliniquement significative. Étant donné que la durée de l'inversion des opioïdes devrait être inférieure à la durée d'action de la codéine dans la solution orale de phosphate de HCl et de codéine de la prométhazine et de la codéine surveille soigneusement le patient jusqu'à ce que la respiration spontanée soit rétablie de manière fiable. Si la réponse à un antagoniste opioïde est sous-optimale ou uniquement de nature, administre un antagoniste supplémentaire comme indiqué par les informations de prescription du produit. Les effets dépressifs respiratoires de la prométhazine ne sont pas inversés par des antagonistes opioïdes tels que la naloxone.

En raison du potentiel de la prométhazine pour inverser la part de l'effet vasopresseur de l'épinéphrine de l'épinéphrine, l'épinephrine ne doit pas être utilisée pour traiter l'hypotension associée à une surdose de prométhazine. L'hémodialyse n'est pas systématiquement utilisée pour améliorer l'élimination de la codéine ou de la prométhazine du corps.

Contre-indications for Phenergan-Codéine

Prométhazine HCl et codéine phosphate Solution orale is contraindicated for:

  • Tous les enfants de moins de 12 ans [voir AVERTISSEMENTS AND PRÉCAUTIONS Utiliser dans des populations spécifiques ].
  • Gestion postopératoire de la douleur chez les enfants de moins de 18 ans après l'amygdalectomie et / ou l'adénoïdectomie [voir AVERTISSEMENTS AND PRÉCAUTIONS ].
Prométhazine HCl And Codéine Phosphate Solution orale Is Also Contraindicated In Patients With
  • Dépression respiratoire importante [voir AVERTISSEMENTS AND PRÉCAUTIONS ].
  • Asthme bronchique aigu ou sévère dans un cadre non surveillé ou en l'absence d'équipement de réanimation [voir AVERTISSEMENTS AND PRÉCAUTIONS ].
  • Obstruction gastro-intestinale connue ou suspectée, y compris l'iléus paralytique [voir AVERTISSEMENTS AND PRÉCAUTIONS ].
  • Une histoire d'une réaction idiosyncratique à la prométhazine ou à d'autres phénothiazines [voir AVERTISSEMENTS AND PRÉCAUTIONS ].
  • Utilisation concomitante des inhibiteurs de la monoamine oxydase (MAOI) ou de l'utilisation des MAOI dans les 14 jours [voir AVERTISSEMENTS AND PRÉCAUTIONS Interactions médicamenteuses ].
  • Hypersensibilité à la codéine prométhazine ou à l'un des ingrédients inactifs dans la solution orale de phosphate de HCl et de codéine [voir [voir Effets indésirables ]. Persons known to be hypersensitive to certain other opioids may exhibit cross-reactivity to codeine.

Pharmacologie clinique for Phenergan-Codéine

Mécanisme d'action

Codéine

Codéine is an opioid agonist relatively selective for the mu-opioid receptor but with a much weaker affinity than morphine. The analgesic and antitussive properties of codeine avoir been speculated to come from its conversion to morphine. The precise mechanism of action of codeine and other opiates is not known; however codeine is believed to act centrally on the cough center. In excessive doses codeine will depress respiration.

Prométhazine

Prométhazine is a phenothiazine derivative which differs structurally from the antipsychotic phenothiazines by the presence of a branched side chain and no ring substitution. Prométhazine possesses antihistamine (H1 receptor antagonist) antiemetic sedative and anticholinergic effects. It prevents released histamine from dilating capillaries and causing edema of the respiratory mucosa.

Pharmacodynamique

Codéine

Effets sur le système nerveux central

Codéine produces respiratory depression by direct action on brain stem respiratory centers. The respiratory depression involves a reduction in the responsiveness of the brain stem respiratory centers to both increases in carbon dioxide tension and to electrical stimulation.

Codéine causes miosis even in total darkness. Pinpoint pupils are a sign of opioid overdose but are not pathognomonic (e.g. pontine lesions of hemorrhagic or ischemic origins may produce similar findings). Marked mydriasis rather than miosis may be seen due to hypoxia in overdose situations.

Effets sur le tractus gastro-intestinal et d'autres muscles lisses

Codéine causes a reduction in motility associated with an increase in smooth muscle tone in the antrum of the stomach and duodenum. Digestion of food in the small intestine is delayed and propulsive contractions are decreased. Propulsive peristaltic waves in the colon are decreased while tone may be increased to the point of spasm resulting in constipation. Autre opioid-induced effects may include a reduction in biliary and pancreatic secretions spasm of sphincter of Oddi and transient elevations in serum amylase.

Effets sur le système cardiovasculaire

Codéine produces peripheral vasodilation which may result in orthostatic hypotension or syncope. Manifestations of histamine release and/or peripheral vasodilation may include pruritus flushing red eyes and transpiration and/or orthostatic hypotension.

Effets sur le système endocrinien

Les opioïdes inhibent la sécrétion de l'hormone adrénocorticotrope (ACTH) cortisol et de l'hormone lutéinisante (LH) chez l'homme [voir Effets indésirables ]. They also stimulate prolactin growth hormone (GH) secretion and pancreatic secretion of insulin and glucagon.

L'utilisation chronique d'opioïdes peut influencer l'axe hypothalamo-hypophyso-gonadique conduisant à une carence en androgène qui peut se manifester comme une faible libido impuissance Dysfonction érectile Aménorrhée ou infertilité. Le rôle causal des opioïdes dans le syndrome clinique de l'hypogonadisme est inconnu car les diverses moteurs de vie physique et stress psychologiques qui peuvent influencer les niveaux d'hormones gonadiques n'ont pas été correctement contrôlés dans les études menées à ce jour [voir Effets indésirables ].

Effets sur le système immunitaire

Il a été démontré que les opioïdes ont une variété d'effets sur les composants du système immunitaire dans les modèles in vitro et animaux. La signification clinique de ces résultats est inconnue. Dans l'ensemble, les effets des opioïdes semblent être modestement immunosuppresseurs.

RELATIONS DE RÉACTION DES CONCURTÉS

Il existe une relation entre l'augmentation de la concentration plasmatique de codéine et l'augmentation de la fréquence des effets indésirables opioïdes liés à la dose tels que les effets du SNC en vomissant nausées et la dépression respiratoire. Chez les patients tolérants aux opioïdes, la situation peut être modifiée par le développement de la tolérance aux effets indésirables liés aux opioïdes.

Prométhazine

Prométhazine competitively antagonize H1 receptors located in most of the smooth muscle including the gastrointestinal tract uterus large blood vessels and bronchial muscle. Actions of histamine on H1 receptors increases capillary permeability and edema formation flare and pruritus.

Pharmacocinétique

Absorption

Codéine is absorbed from the gastrointestinal tract with maximum plasma concentration occurring 60 minutes post administration. The presence of a high-fat high-calorie meal did not significantly impact the PK of codeine.

Prométhazine is well absorbed from the gastrointestinal tract. Clinical effects are apparent within 20 minutes after oral administration and generally last four to six hours although they may persist as long as 12 hours

Distribution

Codéine has been reported to avoir an apparent volume of distribution of approximately 3 to 6 L/kg indicating extensive distribution of the drug into tissues. Codéine has low plasma protein binding with about 7 to 25% of codeine bound to plasma proteins. Codéine passes the blood brain barrier and the placental barrier. Small amounts of codeine and its metabolite morphine are transferred to human breast milk.

Prométhazine is widely distributed in body tissues. Prométhazine has high protein binding with about 80 to 93% of promethazine bound to plasma proteins. Prométhazine passes the blood brain barrier and the placental barrier.

Élimination

Métabolisme

Codéine is metabolized by conjugation with glucuronic acid to codeine-6-glucuronide (about 70 to 80%) by Odemethylation to morphine (about 5 to 10%) and by N-demethylation to norcodeine (about 10%). UDPglucuronosyltransferase (UGT) 2B7 and 2B4 are the major enzymes mediating glucuronidation of codeine to C6G. Cytochrome P450 2D6 is the major enzyme responsible for conversion of codeine to morphine and P450 3A4 is the major enzyme mediating conversion of codeine to norcodeine. Morphine and norcodeine are further metabolized by conjugation with glucuronic acid. The glucuronide metabolites of morphine are morphine-3glucuronide (M3G) and morphine-6-glucuronide (M6G). Morphine and its M6 glucuronide conjugate are pharmacologically active. Whether C6G has pharmacological activity is unknown. Norcodeine and M3 glucuronide conjugate of morphine are generally not considered to be pharmacologically active.

Prométhazine is metabolized by the liver to a variety of inactive metabolites such as sulfoxides of promethazine N-demethylpromethazine and other glucuronides.

Excrétion

Environ 90% de la dose totale de codéine est excrétée à travers les reins dont environ 10% sont de la codéine inchangée. Les demi-vies plasmatiques de codéine et ses métabolites auraient environ 3 heures.

Prométhazine has an elimination half-life of 10-14 hours with excretion of metabolites appearing in the urine and feces. The sulfoxides of promethazine and N-demethylpromethazine are the predominant metabolites appearing in the urine

Informations sur le patient pour la codéine phenergan

Prométhazine Hydrochloride and Codéine Phosphate Solution orale

Quelles sont les informations les plus importantes que je devrais connaître sur le chlorhydrate de prométhazine et la solution orale de phosphate de codéine?

Prométhazine Hydrochloride and Codéine Phosphate Solution orale is not for children under 18 years of age. Prométhazine Hydrochloride and Codéine Phosphate Solution orale can cause serious side effects including:

  • Abus et abus de toxicomanie. Prendre du chlorhydrate de prométhazine et une solution orale de phosphate de codéine ou d'autres médicaments contenant un opioïde peuvent provoquer des abus de dépendance et une mauvaise consommation qui peuvent entraîner une surdose et la mort. Cela peut se produire même si vous prenez une solution orale de chlorhydrate de prométhazine et de phosphate de codéine exactement comme prescrit par votre fournisseur de soins de santé. Votre risque d'abus de dépendance et d'abus est augmenté si vous ou un membre de la famille avez des antécédents d'abus de drogue ou d'alcool ou de dépendance ou de problèmes de santé mentale.
    • Ne pas Partagez votre solution orale de chlorhydrate de prométhazine et de phosphate de codéine avec d'autres personnes.
    • Gardez le chlorhydrate de prométhazine et la solution orale de phosphate de codéine dans un endroit sûr loin des enfants.
  • Problèmes respiratoires mortels (dépression respiratoire). Prométhazine Hydrochloride and Codéine Phosphate Solution orale can cause breathing problems (respiratory depression) that can happen at any time during treatment and can lead to death. Your risk of breathing problems is greatest when you first start taking Prométhazine Hydrochloride and Codéine Phosphate Solution orale are taking other medicines that can cause breathing problems avoir certain lung problems are elderly or avoir certain other health problems. Enfants are at higher risk for respiratory depression. Des problèmes respiratoires peuvent se produire même si vous prenez du chlorhydrate de prométhazine et une solution orale de phosphate de codéine exactement comme prescrit par votre fournisseur de soins de santé.

Appelez votre fournisseur de soins de santé ou obtenez une aide médicale d'urgence immédiatement si quelqu'un prenant du chlorhydrate de prométhazine et une solution orale de phosphate de codéine ou de votre bébé allaité présente l'un des symptômes ci-dessous:

    • somnolence accrue
    • respiration peu profonde
    • confusion
    • mollesse
    • difficulté à respirer

Gardez le chlorhydrate de prométhazine et la solution orale de phosphate de codéine dans un endroit sûr loin des enfants. L'utilisation accidentelle de même 1 dose de chlorhydrate de prométhazine et de solution orale de phosphate de codéine, en particulier par un enfant, est une urgence médicale et peut provoquer des problèmes respiratoires (dépression respiratoire) qui peuvent entraîner la mort. Si un enfant prend accidentellement le chlorhydrate de prométhazine et la solution orale de phosphate de codéine, obtenez une aide d'urgence immédiatement.

  • Surdosage and death due to medicine dosing errors. Surdosage and death can happen if you measure the wrong dose of Prométhazine Hydrochloride and Codéine Phosphate Solution orale. Always use an accurate milliliter (mL) measuring device to measure the correct amount of Prométhazine Hydrochloride and Codéine Phosphate Solution orale. Ne pas use a household teaspoon to measure your medicine. You may accidentally take too much. You can ask your pharmacist for the measuring device you should use and how to measure the correct dose.
  • Problèmes respiratoires (dépression respiratoire) Cela peut entraîner la mort et le retrait des opioïdes peut se produire si vous commencez à prendre ou à arrêter de prendre d'autres médicaments tout en prenant du chlorhydrate de prométhazine et une solution orale de phosphate de codéine, y compris:
    • certains antibiotiques
    • Certains médicaments pour traiter une infection fongique
    • Certains médicaments pour traiter le virus de l'immunodéficience humaine (VIH) -1 infection ont acquis un syndrome de carence immunitaire (AID) ou l'hépatite C
    • rifampin
    • carbamazépine
    • lable
  • Domnolence sévère Problèmes respiratoires (dépression respiratoire) Coma et mort peut se produire chez les adultes et les enfants qui prennent du chlorhydrate de prométhazine et une solution orale phosphate de codéine avec des benzodiazépines ou d'autres dépresseurs du système nerveux central, y compris l'alcool.
    • Ne pas Prenez toutes les benzodiazépines ou médicaments qui peuvent provoquer une somnolence ou une somnolence pendant le traitement avec du chlorhydrate de prométhazine et une solution orale de phosphate de codéine. Demandez à votre fournisseur de soins de santé une liste de ces médicaments si vous n'êtes pas sûr.
    • Ne pas Buvez de l'alcool pendant le traitement avec du chlorhydrate de prométhazine et une solution orale de phosphate de codéine.
  • Retrait des opioïdes dans un nouveau-né. Utiliser of Prométhazine Hydrochloride and Codéine Phosphate Solution orale during pregnancy can cause withdrawal symptoms in your newborn baby that could be life-threatening if not recognized and treated. You should not take Prométhazine Hydrochloride and Codéine Phosphate Solution orale if you are pregnant. Tell your healthcare provider right away if you are pregnant or think you may be pregnant.

Qu'est-ce que le chlorhydrate de prométhazine et la solution orale de phosphate de codéine?

Prométhazine Hydrochloride and Codéine Phosphate Solution orale is a prescription medicine used in adults to temporarily treat cough and upper respiratory symptoms that you can avoir with allergies or a common cold. Prométhazine Hydrochloride and Codéine Phosphate Solution orale contains 2 medicines promethazine and codeine. Prométhazine is an antihistamine. Codéine is an opioid (narcotic) cough suppressant.

Prométhazine Hydrochloride and Codéine Phosphate Solution orale is a federal controlled substance (C-V)because it contains codeine that can be abused or lead to dependence. Gardez le chlorhydrate de prométhazine et la solution orale de phosphate de codéine dans un endroit sûr pour prévenir l'abus et les abus. Vendre ou donner une solution orale de chlorhydrate de prométhazine et de phosphate de codéine peut nuire aux autres et est contraire à la loi. Dites à votre fournisseur de soins de santé si vous avez déjà maltraité ou dépendant des médicaments sur ordonnance d'alcool ou des médicaments de rue.

Qui ne devrait pas prendre la solution orale de chlorhydrate de prométhazine et de phosphate de codéine?

Prométhazine Hydrochloride and Codéine Phosphate Solution orale is not for children under 18 years of age. Voir Quelles sont les informations les plus importantes que je devrais connaître sur le chlorhydrate de prométhazine et la solution orale de phosphate de codéine?

Ne pas take Prométhazine Hydrochloride and Codéine Phosphate Solution orale if you:

  • ont des problèmes respiratoires graves (dépression respiratoire). Voir Quelles sont les informations les plus importantes que je devrais connaître sur le chlorhydrate de prométhazine et la solution orale de phosphate de codéine?
  • Ayez un blocage (obstruction) dans votre intestin comme un iléus paralytique.
  • Prenez un médicament appelé inhibiteur de monoamine oxydase (MAOI).
    • Ne pas Prenez un MAOI dans les 14 jours suivant l'arrêt de prendre du chlorhydrate de prométhazine et une solution orale de phosphate de codéine.
    • Ne pas Commencez à prendre du chlorhydrate de prométhazine et une solution orale de phosphate de codéine si vous avez cessé de prendre un MAOI au cours des 14 derniers jours.
  • avoir un type de glaucome appelé glaucome à angle étroit.
  • Ayez des problèmes avec vos voies urinaires ou difficulté à uriner (rétention urinaire).
  • sont allergiques à la prométhazine codéine ou à l'un des ingrédients de la solution orale de chlorhydrate de prométhazine et de phosphate de codéine. Voir la fin de ce guide de médicaments pour une liste complète des ingrédients dans le chlorhydrate de prométhazine et la solution orale de phosphate de codéine. Vous pouvez avoir un risque accru de réaction allergique à la solution orale de chlorhydrate de prométhazine et de phosphate de codéine si vous êtes allergique à certains autres médicaments opioïdes.

Demandez à votre fournisseur de soins de santé si vous avez des questions sur ces informations.

Avant de prendre le chlorhydrate de prométhazine et la solution orale de phosphate de codéine, informez votre fournisseur de soins de santé de toutes vos conditions médicales, y compris si vous:

  • avoir une dépendance à la drogue
  • avoir des problèmes de prostate
  • avoir des problèmes de poumon ou de respiration
  • avoir des problèmes avec vos voies urinaires ou des difficultés à uriner
  • avoir de la fièvre et tousser le mucus
  • ont des spasmes incontrôlés du cou ou des muscles de votre visage
  • ont subi une blessure à la tête récente des bras et des jambes du corps (dystonie)
  • ont eu une tumeur cérébrale ou d'autres problèmes cérébraux
  • ont des antécédents de syndrome malin neuroleptique (NMS)
  • ont ou ont eu des crises
  • ont des troubles sanguins, y compris les globules blancs bas
  • avoir de la douleur dans la région de l'estomac (abdomen)
  • ont une pression artérielle basse (hypotension)
  • avoir une constipation ou d'autres problèmes intestinaux
  • avoir des problèmes de glandes surrénales
  • avoir même Problèmes de conduit ou de pancréas
  • prévoyez de subir une intervention chirurgicale
  • avoir kidney or liver problems
  • sont enceintes ou prévoient de devenir enceintes. Le chlorhydrate de prométhazine et la solution orale de phosphate de codéine peuvent nuire à votre bébé à naître. Voyez quelles sont les informations les plus importantes que je devrais connaître sur la solution orale de phosphate de prométhazinehydrochlorhydrate et de codéine?
  • allaitent ou prévoient d'allaiter. La codéine passe dans votre lait maternel et peut provoquer des effets secondaires graves dans votre bébé, y compris une augmentation des problèmes respiratoires de somnolence (dépression respiratoire) et la mort. On ne sait pas si la prométhazine peut passer dans votre lait maternel. Vous et votre fournisseur de soins de santé devriez décider si vous prenez du chlorhydrate de prométhazine et de la solution orale de phosphate de codéine ou de l'allaitement. Vous ne devriez pas faire les deux. Voir Que dois-je éviter en prenant du chlorhydrate de prométhazine et une solution orale de phosphate de codéine?
  • Prévoyez d'avoir des enfants. Le chlorhydrate de prométhazine et la solution orale de phosphate de codéine peuvent affecter la capacité d'avoir un enfant chez les femmes et les hommes (problèmes de fertilité). On ne sait pas si ces problèmes de fertilité seront réversibles même après avoir cessé de prendre du chlorhydrate de prométhazine et une solution orale de phosphate de codéine.

Parlez à votre fournisseur de soins de santé de tous les médicaments que vous prenez y compris les médicaments sur ordonnance et en vente libre des vitamines et des suppléments à base de plantes.

La prise de chlorhydrate de prométhazine et la solution orale de phosphate de codéine avec certains autres médicaments peut provoquer des effets secondaires ou affecter la façon dont la solution orale du chlorhydrate de prométhazine et du phosphate de codéine ou les autres médicaments fonctionnent. Ne commencez pas ou n'arrêtez pas de prendre d'autres médicaments sans parler à votre fournisseur de soins de santé.

Parlez surtout de votre fournisseur de soins de santé si vous:

  • Voir Quelles sont les informations les plus importantes que je devrais connaître sur le chlorhydrate de prométhazine et la solution orale de phosphate de codéine?
  • Prenez des analgésiques tels que les opioïdes (stupéfiants).
  • Prenez des médicaments contre le froid ou les allergies qui contiennent des antihistaminiques ou des suppresseurs de toux.
  • boire de l'alcool.
  • Prenez des relaxants musculaires.
  • Prenez certains médicaments utilisés pour traiter l'anxiété de l'humeur ou les troubles de la pensée ou la dépression, y compris les inhibiteurs sélectifs de la sérotonine sélective (ISRS) inhibiteurs sélectifs sélectifs de la sérotoninnephrine (SSRI) ou antipsychotiques.
  • Prenez des pilules d'eau (diurétiques).
  • Prenez des médicaments appelés anticholinergiques utilisés pour traiter l'asthme de la bronchite chronique (MPOC) ou des problèmes d'estomac.

Demandez à votre fournisseur de soins de santé si vous ne savez pas si vous prenez l'un de ces médicaments.

Comment dois-je prendre la solution orale de chlorhydrate de prométhazine et de phosphate de codéine?

  • Voir Quelles sont les informations les plus importantes que je devrais connaître sur le chlorhydrate de prométhazine et la solution orale de phosphate de codéine?
  • Prenez le chlorhydrate de prométhazine et la solution orale de phosphate de codéine exactement comme votre fournisseur de soins de santé vous dit de le prendre. Ne pas Changez votre dose sans parler à votre fournisseur de soins de santé.
  • Prenez du chlorhydrate de prométhazine et de la solution orale phosphate de codéine par la bouche uniquement.
  • Ne pas Prenez plus de 30 ml de chlorhydrate de prométhazine et de solution orale de phosphate de codéine en 24 heures.
  • Prenez du chlorhydrate de prométhazine et de la solution orale de phosphate de codéine à l'aide d'un dispositif de mesure précis de milliliter (ML). Si vous n'en avez pas, demandez à votre pharmacien de vous donner un dispositif de mesure pour mesurer la bonne quantité de solution orale de chlorhydrate de prométhazine et de phosphate de codéine. Ne pas use a household teaspoon to measure your medicine. You may accidently take too much.
  • Ne pas trop remplir le dispositif de mesure.
  • Rincez votre appareil de mesure avec de l'eau après chaque utilisation.
  • Si vous prenez trop de chlorhydrate de prométhazine et de solution orale de phosphate de codéine, appelez votre fournisseur de soins de santé ou allez immédiatement aux urgences de l'hôpital le plus proche.
  • Dites à votre fournisseur de soins de santé si votre toux ne s'améliore pas dans les 5 jours suivant le traitement avec une solution orale de chlorhydrate de prométhazine et de phosphate de codéine.

Que dois-je éviter en prenant du chlorhydrate de prométhazine et une solution orale de phosphate de codéine?

  • Évitez de conduire une voiture ou des machines en fonctionnement pendant le traitement avec du chlorhydrate de prométhazine et une solution orale de phosphate de codéine. Le chlorhydrate de prométhazine et la solution orale de phosphate de codéine peuvent vous faire ralentir votre réflexion et votre motricité et affecter votre vision.
  • Ne pas Buvez de l'alcool pendant le traitement avec du chlorhydrate de prométhazine et une solution orale de phosphate de codéine. Drinking alcohol with Prométhazine Hydrochloride and Codéine Phosphate Solution orale can increase your chances of having serious side effects accidental overdose and cause death.

Évitez l'utilisation de la solution orale de chlorhydrate de prométhazine et de phosphate de codéine si vous:

  • sont enceintes. L'utilisation du chlorhydrate de prométhazine et de la solution orale de phosphate de codéine pendant la grossesse peut provoquer des symptômes de sevrage chez votre nouveau-né qui pourraient être mortels s'ils ne sont pas reconnus et traités. Dites immédiatement votre professionnel de la santé si vous êtes enceinte ou si vous pensez être enceinte.
  • allaitent. L'utilisation du chlorhydrate de prométhazine et de la solution orale de phosphate de codéine tandis que l'allaitement maternel peut provoquer de graves problèmes respiratoires (dépression respiratoire) chez votre nourrisson allaité qui pourrait être mortel.

Quels sont les effets secondaires possibles du chlorhydrate de prométhazine et de la solution orale de phosphate de codéine?

Prométhazine Hydrochloride and Codéine Phosphate Solution orale may cause serious side effects including:

  • Voir Quelles sont les informations les plus importantes que je devrais connaître sur le chlorhydrate de prométhazine et la solution orale de phosphate de codéine?
  • Problèmes intestinaux, notamment une constipation sévère ou des douleurs à l'estomac. Voyez qui ne devrait pas prendre la solution orale de chlorhydrate de prométhazine et de phosphate de codéine?
  • Une pression accrue dans votre tête (augmentation de la pression intracrânienne). Évitez l'utilisation de la solution orale de chlorhydrate de prométhazine et de phosphate de codéine si vous avez une blessure à la tête ou si vous avez été informé que vous avez des changements dans le tissu de votre cerveau (lésions cérébrales) ou une pression accrue dans votre tête.
  • Syndrome malin neuroleptique (NMS) qui peut entraîner la mort. Dites-vous immédiatement un fournisseur de soins de santé si vous présentez l'un des symptômes suivants de NMS:
    • forte fièvre
    • confusion
    • Changements de la fréquence cardiaque du pouls ou de la pression artérielle
    • muscles raides
    • transpiration
  • Spasmes non contrôlés de vos muscles du visage et du cou ou des muscles de vos bras et des jambes de votre corps (dystonie). Ces spasmes musculaires peuvent provoquer des mouvements anormaux et des positions corporelles et des problèmes de parole. Ces spasmes peuvent se produire après une dose de chlorhydrate de prométhazine et de solution orale de phosphate de codéine. Dites à votre fournisseur de soins de santé si vous présentez l'un de ces symptômes.
  • Risque accru de crises chez les personnes souffrant de troubles de crise. Si vous souffrez d'un trouble de crise du chlorhydrate de prométhazine et d'une solution orale de phosphate de codéine peut augmenter la fréquence à laquelle vous avez des crises.
  • Pression artérielle basse. Une baisse soudaine de la pression artérielle peut se produire chez certaines personnes pendant le traitement avec du chlorhydrate de prométhazine et une solution orale de phosphate de codéine, ce qui peut vous faire sentir étourdi étourdi ou faible, surtout lorsque vous vous levez (hypotension orthostatique). Votre risque d'avoir ce problème peut être augmenté si vous prenez du chlorhydrate de prométhazine et une solution orale de phosphate de codéine avec certains autres médicaments qui abaissent la pression artérielle. Si vous avez l'un de ces symptômes tout en prenant du chlorhydrate de prométhazine et de la solution orale phosphate de codéine, asseyez-vous. Ne changez pas trop rapidement votre position corporelle. Levez-vous lentement de s'asseoir ou de coucher.
  • Problèmes de glandes surrénales. Prométhazine Hydrochloride and Codéine Phosphate Solution orale can cause serious and life-threatening adrenal gland problems. Your healthcare provider may do blood tests to check for adrenal gland problems. Call your healthcare provider right away if you avoir any of these symptoms:
    • nausée
    • faiblesse
    • vomissement
    • vertiges
    • Ne pas vouloir manger (anorexie)
    • pression artérielle basse
    • fatigue
  • Changements dans les niveaux sanguins de laboratoire, y compris la glycémie élevée et la lecture des tests de grossesse.

Les effets secondaires les plus courants de la solution orale de chlorhydrate de prométhazine et de phosphate de codéine comprennent:

  • envie de dormir
  • mal de tête
  • difficulté à uriner
  • confusion
  • irritabilité
  • transpiration
  • problèmes de coordination
  • anxiété
  • essoufflement
  • diminution des performances mentales et physiques
  • agitation
  • nausée
  • manque d'énergie
  • nervosité
  • vomissement
  • étourdissement
  • tremblement
  • constipation
  • vertiges
  • bouche sèche

Ce ne sont pas tous les effets secondaires possibles du chlorhydrate de prométhazine et de la solution orale phosphate de codéine.

Appelez votre médecin pour des conseils médicaux sur les effets secondaires. Vous pouvez signaler les effets secondaires à la FDA au 1-800-FDA-1088.

Comment stocker la solution orale de chlorhydrate de prométhazine et de phosphate de codéine?

  • Stockez le chlorhydrate de prométhazine et la solution orale phosphate de codéine à température ambiante entre 68 ° F à 77 ° F (20 ° C à 25 ° C).
  • Stockez le chlorhydrate de prométhazine et la solution orale de phosphate de codéine dans un récipient étroitement fermé dans un endroit frais et frais loin de la chaleur ou de la lumière directe du soleil.
  • Gardez le chlorhydrate de prométhazine et la solution orale de phosphate de codéine et tous les médicaments hors de la portée des enfants.

Comment disposer de la solution orale de chlorhydrate de prométhazine et de phosphate de codéine?

Retirer le chlorhydrate de prométhazine inutilisé et la solution orale de phosphate de codéine du récipient et le mélanger avec une substance non toxique indésirable telle que la litière de chats ou le terrain de café utilisé pour le rendre moins attrayant pour les enfants et les animaux de compagnie. Placez le mélange dans un récipient comme un sac en plastique scellé et jetez-le dans la poubelle domestique. Vous pouvez également suivre vos directives d'État ou locales sur la façon de jeter en toute sécurité la solution orale de chlorhydrate de prométhazine et de phosphate de codéine.

Informations générales sur l'utilisation sûre et efficace du chlorhydrate de prométhazine et de la solution orale phosphate de codéine.

Les médicaments sont parfois prescrits à des fins autres que celles énumérées dans un guide de médicaments. N'utilisez pas de chlorhydrate de prométhazine et de solution orale de phosphate de codéine pour une condition pour laquelle il n'a pas été prescrit. Ne donnez pas de chlorhydrate de prométhazine et de solution orale de phosphate de codéine à d'autres personnes même si vous avez les mêmes symptômes que vous. Cela peut leur faire du mal.

Vous pouvez demander à votre pharmacien ou fournisseur de soins de santé pour des informations sur la solution orale de chlorhydrate de prométhazine et de phosphate de codéine qui est écrite pour les professionnels de la santé.

Quels sont les ingrédients de la solution orale de chlorhydrate de prométhazine et de phosphate de codéine?

Ingrédients actifs: chlorhydrate de prométhazine et phosphate de codéine

Ingrédients inactifs: saveurs artificielles et naturelles acide citrique d

Ce guide de médicaments a été approuvé par la Food and Drug Administration des États-Unis